Образовательный сайт vpr-klass.com (впр-класс.ком) - готовые решения задач!
У нас вы найдете много учебных материалов: решебники, ГДЗ, тестовые задания, видео уроки, генераторы задач, решения упражнений гиа и егэ.
впр-класс.ком

Расскажи друзьям

Ищи САЙТ в Яндексе и Google по слову:
vpr-klass или впр-класс


Сохрани сайт в закладки - нажми Ctrl+D

4-03-2013, 09:51

Разбор задачи ЕГЭ по математике B14, - точка минимума функции.


Версия для печати

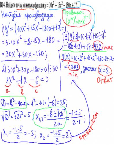
В решении данной задачи ЕГЭ B14 по математике - нужно найти точку минимума функции. Задача решается легко, сперва находим производную, затем приравниваем ее к нулю. Потом решаем квадратное уравнение по дискриминанту, находим 2 корня и подставляем каждый корень в изначальную функции. Минимальное значение функции и будет ответом, в частности ответом будет x=2. Разбор данной задачи B14 поможет вам в подготовке и сдаче ЕГЭ по математике 2013 года.


Скачать решение.




ПОХОЖИЕ УЧЕБНЫЕ МАТЕРИАЛЫ:

  • ЕГЭ по математике 2014 - задание в15
  • ЕГЭ по математике 2014 - В15
  • ЕГЭ 2014 по математике - Значение производной функции
  • ЕГЭ 2014 по математике - Найти экстремум функции
  • Математика егэ 2014 - Задача B14 - Точка максимума функции
  • Задача ЕГЭ B8: Найти абсциссу точки касания.
  • Решение задачи ЕГЭ B14: наибольшее значение функции.
  • Разбор ЕГЭ по математике,задача B7 - Найти значение выражения.
  • Найти координаты точки пересечения графиков.
  • Решение демонстрационного варианта ЕГЭ 2013 по математике.
  • Категория: Учебные материалы, ЕГЭ по математике 2017 - решение заданий, подготов | Просмотров: 4929 | Добавил: dimention | Теги:

    

    Оставь свой комментарий!
    
    Учебники смотреть онлайн

    Математика
    Информатика
    Химия
    Copyright © 2017 vpr-klass.com | Если какой-либо из материалов нарушает ваши авторские права, просим немедленно связаться с Администрацией!!! Наш e-mail: admin@vpr-klass.com | Правообладателям | sitemap.xml