Образовательный сайт vpr-klass.com (впр-класс.ком) - готовые решения задач!
У нас вы найдете много учебных материалов: решебники, ГДЗ, тестовые задания, видео уроки, генераторы задач, решения упражнений гиа и егэ.
впр-класс.ком

Расскажи друзьям

Ищи САЙТ в Яндексе и Google по слову:
vpr-klass или впр-класс


Сохрани сайт в закладки - нажми Ctrl+D

23-05-2013, 17:41

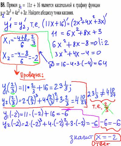
Задача ЕГЭ B8: Найти абсциссу точки касания.


Версия для печати

Решение задания ЕГЭ по математике 2013 года - под номером B8.

Вначале найдем производные обеих функций и приравняем их - получится обычное квадратное уравнение, которое решается по дискриминанту. Затем найдя 2 корня уравнения, мы их поочередно подставляем в обе функции. При x=2/3 значения функций не будут равны между собой - значит эта точка не подходит. При x=-2, значения функций совпадут (-6=-6), т.е. данная точка будет точкой касания касательной к графику функции.


Скачать решение.




ПОХОЖИЕ УЧЕБНЫЕ МАТЕРИАЛЫ:

  • ЕГЭ по математике b14
  • ЕГЭ по математике 2014 - задание в15
  • ЕГЭ по математике 2014 - В15
  • Презентация по математике 7 класс: Функция, свойства функций
  • Разбор задачи ЕГЭ по математике B14, - точка минимума функции.
  • Решение задачи B8, ЕГЭ по математике 2013, - Касательная к графику функции, производная.
  • Решение реального варианта ГИА 2013 - номер № 1317.
  • Найти координаты точки пересечения графиков.
  • Презентацию по математике 10-11 классы - Графики тригонометрических функций.
  • Решение демонстрационного варианта ЕГЭ 2013 по математике.
  • Категория: Учебные материалы, ЕГЭ по математике 2017 - решение заданий, подготов | Просмотров: 4279 | Добавил: dimention | Теги:

    

    Оставь свой комментарий!
    
    Учебники смотреть онлайн

    Математика
    Информатика
    Химия
    Copyright © 2017 vpr-klass.com | Если какой-либо из материалов нарушает ваши авторские права, просим немедленно связаться с Администрацией!!! Наш e-mail: admin@vpr-klass.com | Правообладателям | sitemap.xml