Образовательный сайт vpr-klass.com (впр-класс.ком) - готовые решения задач!
У нас вы найдете много учебных материалов: решебники, ГДЗ, тестовые задания, видео уроки, генераторы задач, решения упражнений гиа и егэ.
впр-класс.ком

Расскажи друзьям

Ищи САЙТ в Яндексе и Google по слову:
vpr-klass или впр-класс


Сохрани сайт в закладки - нажми Ctrl+D

31-08-2013, 11:37

Математика егэ 2014 - решение задач В5, уравнения


Версия для печати

Математика ЕГЭ 2014 - решение задач В5 - уравнения.

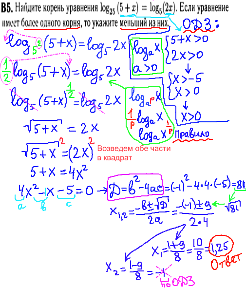
Данные решенные задания содержат разбор разных уравений: линейных, дробных, иррациональных, логарифмических и показательных. Всего вы найдете около 36 примеров, которые помогут ученикам в подготовке к экзамену ЕГЭ по математике 2014 года.



Математика егэ 2014 - решение задания В5 - уравнение
Математика егэ 2014 - решение задания В5 - уравнение
Математика егэ 2014 - решение задания В5 - уравнение
Математика егэ 2014 - решение задания В5 - уравнение
Математика егэ 2014 - решение задания В5 - уравнение
Математика егэ 2014 - решение задания В5 - уравнение
Математика егэ 2014 - решение задания В5 - уравнение
Математика егэ 2014 - решение задания В5 - уравнение
Математика егэ 2014 - решение задания В5 - уравнение
Математика егэ 2014 - решение задания В5 - уравнение
Математика егэ 2014 - решение задания В5 - уравнение
Математика егэ 2014 - решение задания В5 - уравнение
Математика егэ 2014 - решение задания В5 - уравнение
Математика егэ 2014 - решение задания В5 - уравнение
Математика егэ 2014 - решение задания В5 - уравнение
Математика егэ 2014 - решение задания В5 - уравнение
Математика егэ 2014 - решение задания В5 - уравнение
Математика егэ 2014 - решение задания В5 - уравнение
Математика егэ 2014 - решение задания В5 - уравнение
Математика егэ 2014 - решение задания В5 - уравнение
Математика егэ 2014 - решение задания В5 - уравнение
Математика егэ 2014 - решение задания В5 - уравнение

Математика егэ 2014 - решение задания В5 - уравнение



Математика егэ 2014 - решение задания В5 - уравнение
Математика егэ 2014 - решение задания В5 - уравнение
Математика егэ 2014 - решение задания В5 - уравнение
Математика егэ 2014 - решение задания В5 - уравнение Математика егэ 2014 - решение задания В5 - уравнение
Математика егэ 2014 - решение задания В5 - уравнение
Математика егэ 2014 - решение задания В5 - уравнение
Математика егэ 2014 - решение задания В5 - уравнение
Математика егэ 2014 - решение задания В5 - уравнение
Математика егэ 2014 - решение задания В5 - уравнение



Математика егэ 2014 - решение задания В5 - уравнение



Математика егэ 2014 - решение задания В5 - уравнение


Математика егэ 2014 - решение задания В5 - уравнение
Математика егэ 2014 - решение задания В5 - уравнение
Математика егэ 2014 - решение задания В5 - уравнение
Математика егэ 2014 - решение задания В5 - уравнение
Математика егэ 2014 - решение задания В5 - уравнение
Математика егэ 2014 - решение задания В5 - уравнение




ПОХОЖИЕ УЧЕБНЫЕ МАТЕРИАЛЫ:

  • ГИА 2014 математика - задание №9
  • ЕГЭ по математике 2014 - задание в7
  • Математика егэ 2014 - тренировочный вариант, решение
  • Математика 9 класс гиа 2014 - задание номер 7
  • Математика ГИА 2014 - Модуль Алгебра: задание №5 - графики функций
  • Математика ГИА 2014 - Модуль Алгебра: задание №4 - уравнения
  • Презентация по математике: Решение задач ГИА за 9 класс
  • Математика егэ 2014 - решение задач В2, графики, диаграммы
  • Математика ЕГЭ 2014 - решение задач В1, проценты
  • Демонстрационный вариант гиа по математике 2014
  • Категория: Учебные материалы, ЕГЭ по математике 2017 - решение заданий, подготов | Просмотров: 52334 | Добавил: dimention | Теги:

    

    Оставь свой комментарий!
    
    Учебники смотреть онлайн

    Математика
    Информатика
    Химия
    Copyright © 2017 vpr-klass.com | Если какой-либо из материалов нарушает ваши авторские права, просим немедленно связаться с Администрацией!!! Наш e-mail: admin@vpr-klass.com | Правообладателям | sitemap.xml