Образовательный сайт vpr-klass.com (впр-класс.ком) - готовые решения задач!
У нас вы найдете много учебных материалов: решебники, ГДЗ, тестовые задания, видео уроки, генераторы задач, решения упражнений гиа и егэ.
впр-класс.ком

Расскажи друзьям

Ищи САЙТ в Яндексе и Google по слову:
vpr-klass или впр-класс


Сохрани сайт в закладки - нажми Ctrl+D

4-03-2014, 18:40

Математика гиа 2014 - задание 8, решение неравенств


Версия для печати

Математика гиа 2014 - задание 8, решение неравенств.

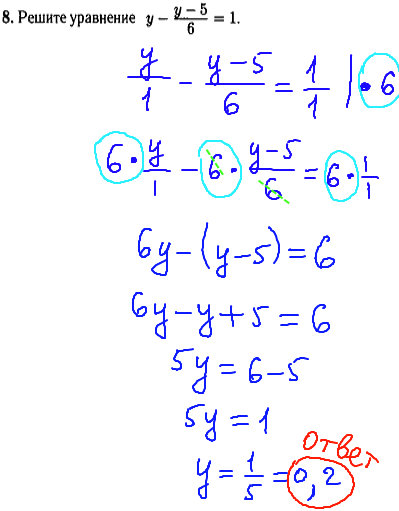
Выкладываю на сайт решения заданий гиа по математике под номером 8 - модуль Алгебра, где рассматриваются неравенства и системы неравенств. В разборе данных задач по алгебре были выбраны разные типы заданий гиа 2014 года. Благодаря решениям заданий гиа по математике, многие ученики 9 класса смогут самостоятельно разобраться и понять тему: неравенства и системы неравенств.


Математика гиа 2014 - задание 8, решение неравенств.
Математика гиа 2014 - задание 8, решение неравенств.
Математика гиа 2014 - задание 8, решение неравенств.
Математика гиа 2014 - задание 8, решение неравенств.
Математика гиа 2014 - задание 8, решение неравенств.
Математика гиа 2014 - задание 8, решение неравенств.
Математика гиа 2014 - задание 8, решение неравенств.
Математика гиа 2014 - задание 8, решение неравенств.
Математика гиа 2014 - задание 8, решение неравенств.
Математика гиа 2014 - задание 8, решение неравенств.
Математика гиа 2014 - задание 8, решение неравенств.
Математика гиа 2014 - задание 8, решение неравенств.
Математика гиа 2014 - задание 8, решение неравенств.
Математика гиа 2014 - задание 8, решение неравенств.
Математика гиа 2014 - задание 8, решение неравенств.
Математика гиа 2014 - задание 8, решение неравенств.
Математика гиа 2014 - задание 8, решение неравенств.
Математика гиа 2014 - задание 8, решение неравенств.
Математика гиа 2014 - задание 8, решение неравенств.




ПОХОЖИЕ УЧЕБНЫЕ МАТЕРИАЛЫ:

  • КИМы по математике 2014 - решение задач модуль Геометрия
  • Подготовка к гиа по математике 2014
  • ГИА 2014 математика - задание №9
  • Математика 9 класс гиа 2014 - задание номер 7
  • Математика ГИА 2014 - Модуль Алгебра: задание №3 - Сравнение чисел
  • Презентация по математике: Решение задач с параметром
  • Презентация по алгебре 8 класс: Решение неравенств и систем неравенств
  • Презентация по алгебре за 10-11 класс: Логарифмические неравенства
  • Числа на числовом луче, решение неравенств.
  • Категория: Учебные материалы, Задания ГИА ОГЭ по математике 2017 - решение, подг | Просмотров: 57864 | Добавил: dimention | Теги:

    

    Оставь свой комментарий!
    
    Учебники смотреть онлайн

    Математика
    Информатика
    Химия
    Copyright © 2017 vpr-klass.com | Если какой-либо из материалов нарушает ваши авторские права, просим немедленно связаться с Администрацией!!! Наш e-mail: admin@vpr-klass.com | Правообладателям | sitemap.xml