Образовательный сайт vpr-klass.com (впр-класс.ком) - готовые решения задач!
У нас вы найдете много учебных материалов: решебники, ГДЗ, тестовые задания, видео уроки, генераторы задач, решения упражнений гиа и егэ.
впр-класс.ком

Расскажи друзьям

Ищи САЙТ в Яндексе и Google по слову:
vpr-klass или впр-класс


Сохрани сайт в закладки - нажми Ctrl+D

1-03-2014, 19:16

Математика 9 класс гиа 2014 - задание номер 7


Версия для печати

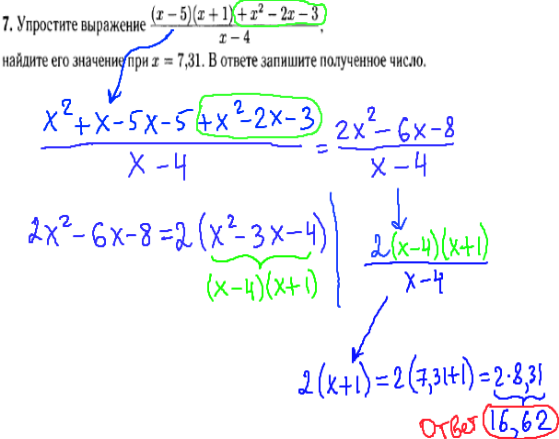
Математика гиа 2014 - задание номер 7.

Благодаря данным разборам задач по алгебре, учащиеся 9 класса смогут лучше упрощать выражения и искать их числовые значения. Также есть задания на сокращение дробей. Первые 30 задач гиа взяты из книги Лысенко - Подготовка к гиа 2014 года.


гиа по математике 2014 - решение задания номер 7
гиа по математике 2014 - решение задания номер 7
гиа по математике 2014 - решение задания номер 7
гиа по математике 2014 - решение задания номер 7
гиа по математике 2014 - решение задания номер 7
гиа по математике 2014 - решение задания номер 7
гиа по математике 2014 - решение задания номер 7
гиа по математике 2014 - решение задания номер 7
гиа по математике 2014 - решение задания номер 7
гиа по математике 2014 - решение задания номер 7
гиа по математике 2014 - решение задания номер 7
гиа по математике 2014 - решение задания номер 7
гиа по математике 2014 - решение задания номер 7
математика гиа 2014, 9 класс - решение задачи номер 7
математика гиа 2014, 9 класс - решение задачи номер 7
математика гиа 2014, 9 класс - решение задачи номер 7
математика гиа 2014, 9 класс - решение задачи номер 7
математика гиа 2014, 9 класс - решение задачи номер 7
математика гиа 2014, 9 класс - решение задачи номер 7
математика гиа 2014, 9 класс - решение задачи номер 7
математика гиа 2014, 9 класс - решение задачи номер 7
математика гиа 2014, 9 класс - решение задачи номер 7
математика гиа 2014, 9 класс - решение задачи номер 7
математика гиа 2014, 9 класс - решение задачи номер 7
математика гиа 2014, 9 класс - решение задачи номер 7
математика гиа 2014, 9 класс - решение задачи номер 7
математика гиа 2014, 9 класс - решение задачи номер 7
математика гиа 2014, 9 класс - решение задачи номер 7
математика гиа 2014, 9 класс - решение задачи номер 7
математика гиа 2014, 9 класс - решение задачи номер 7
Продолжение следует...ждите...




ПОХОЖИЕ УЧЕБНЫЕ МАТЕРИАЛЫ:

  • КИМы по математике 2014 - решение задач модуль Геометрия
  • КИМы ГИА по математике 2014 - решение варианта №101
  • ГИА 2014 математика - задание №9
  • Математика егэ 2014 - тренировочный вариант, решение
  • Лысенко - Математика, подготовка к ГИА 2014
  • Математика гиа 2014 - задание 8, решение неравенств
  • Математика ГИА 2014 - Модуль Алгебра: задание №3 - Сравнение чисел
  • Математика ГИА 2014 - Модуль Алгебра: задание №1 - Вычислить выражение
  • Математика егэ 2014 - решение задач В2, графики, диаграммы
  • Категория: Учебные материалы, Задания ГИА ОГЭ по математике 2017 - решение, подг | Просмотров: 66453 | Добавил: dimention | Теги:

    

    Оставь свой комментарий!
    
    Учебники смотреть онлайн

    Математика
    Информатика
    Химия
    Copyright © 2017 vpr-klass.com | Если какой-либо из материалов нарушает ваши авторские права, просим немедленно связаться с Администрацией!!! Наш e-mail: admin@vpr-klass.com | Правообладателям | sitemap.xml