Образовательный сайт vpr-klass.com (впр-класс.ком) - готовые решения задач!
У нас вы найдете много учебных материалов: решебники, ГДЗ, тестовые задания, видео уроки, генераторы задач, решения упражнений гиа и егэ.
впр-класс.ком

Расскажи друзьям

Ищи САЙТ в Яндексе и Google по слову:
vpr-klass или впр-класс


Сохрани сайт в закладки - нажми Ctrl+D

27-10-2013, 09:54

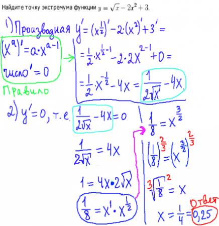
ЕГЭ 2014 по математике - Найти экстремум функции


Версия для печати

Подготовка к ЕГЭ 2014 по математике - решение задания на тему: Экстремум функции, производная.

Стандартная задача егэ B14 с простым решением, сперва находим производную функции по правилу (свойству), а затем приравниваем ее к нулю. Решаем уравнение, в конце возведем обе части уравнения в степень (2/3), чтобы получился просто x. Ответ равен 1/4 или 0,25.



Скачать решение задания ЕГЭ по математике 2014




ПОХОЖИЕ УЧЕБНЫЕ МАТЕРИАЛЫ:

  • ЕГЭ по математике b14
  • ЕГЭ по математике 2014 - задание в15
  • ЕГЭ по математике 2014 - В15
  • ЕГЭ по математике 2014 - задача В15
  • ЕГЭ 2014 по математике - Значение производной функции
  • ЕГЭ 2014 по математике - Точки экстремума функции
  • Математика егэ 2014 - Задача B14 - Точка максимума функции
  • Решение демонстрационного варианта ЕГЭ по математике 2014
  • Разбор задачи ЕГЭ по математике B14, - точка минимума функции.
  • Решение демонстрационного варианта ЕГЭ 2013 по математике.
  • Категория: Учебные материалы, ЕГЭ по математике 2017 - решение заданий, подготов | Просмотров: 4377 | Добавил: dimention | Теги:

    

    Оставь свой комментарий!
    
    Учебники смотреть онлайн

    Математика
    Информатика
    Химия
    Copyright © 2017 vpr-klass.com | Если какой-либо из материалов нарушает ваши авторские права, просим немедленно связаться с Администрацией!!! Наш e-mail: admin@vpr-klass.com | Правообладателям | sitemap.xml