Образовательный сайт vpr-klass.com (впр-класс.ком) - готовые решения задач!
У нас вы найдете много учебных материалов: решебники, ГДЗ, тестовые задания, видео уроки, генераторы задач, решения упражнений гиа и егэ.
впр-класс.ком

Расскажи друзьям

Ищи САЙТ в Яндексе и Google по слову:
vpr-klass или впр-класс


Сохрани сайт в закладки - нажми Ctrl+D

26-08-2013, 14:35

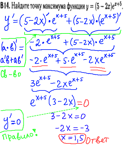
Математика егэ 2014 - Задача B14 - Точка максимума функции


Версия для печати

Математика егэ 2014 - Задача B14 - Точка максимума функции

Здесь мы находим производную функции, а затем приравниваем ее к нулю. Получаем x=1,5 - Ответ.

Скачать это решение задания егэ по математике



Категория: Учебные материалы, ЕГЭ по математике 2017 - решение заданий, подготов | Просмотров: 4365 | Добавил: dimention | Теги:



Оставь свой комментарий!

Учебники смотреть онлайн

Математика
Информатика
Химия
Copyright © 2017 vpr-klass.com | Если какой-либо из материалов нарушает ваши авторские права, просим немедленно связаться с Администрацией!!! Наш e-mail: admin@vpr-klass.com | Правообладателям | sitemap.xml