Образовательный сайт vpr-klass.com (впр-класс.ком) - готовые решения задач!
У нас вы найдете много учебных материалов: решебники, ГДЗ, тестовые задания, видео уроки, генераторы задач, решения упражнений гиа и егэ.
впр-класс.ком

Расскажи друзьям

Ищи САЙТ в Яндексе и Google по слову:
vpr-klass или впр-класс


Сохрани сайт в закладки - нажми Ctrl+D

30-01-2014, 18:12

Решение варианта кдр по математике 9 класс - 29.01.14


Версия для печати

Решение варианта кдр по математике 9 класс - 29.01.14.

Ознакомьтесь с решением одного из вариантов краевой диагностической работы по математике для учащихся 9 класса за 29 января 2014 год. Разобраны все 20 заданий по трем модулям: алгебра, геометрия и реальная математика. Благодаря решенным заданиям и ответам, ученики смогут лучше подготовиться к государственному экзамену ГИА по математике 2014 года.


решение задания кдр по математике №1
решение задания кдр по математике №2
решение задания кдр по математике №3
решение задания кдр по математике №4
решение задания кдр по математике №5
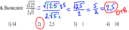
решение задания кдр по математике №6
решение задания кдр по математике №7
решение задания кдр по математике №8
решение задания кдр по математике №9
решение задания кдр по математике №10
решение задания кдр по математике №11
решение задания кдр по математике №12
решение задания кдр по математике №13
решение задания кдр по математике №14
решение задания кдр по математике №15
решение задания кдр по математике №16
решение задания кдр по математике №17
решение задания кдр по математике №18
решение задания кдр по математике №19
решение задания кдр по математике №20





ПОХОЖИЕ УЧЕБНЫЕ МАТЕРИАЛЫ:

  • КДР по математике 9 класс апрель 2014 год
  • Решение варианта кдр по математике 10 класс - 29.01.14.
  • Варианты и ответы КДР по математике 9 класс - 29 января 2014
  • Варианты и ответы КДР по математике 10 класс - 29 января 2014
  • Варианты и ответы КДР по математике 10 класс - 27 ноября 2013 год
  • Решение заданий КДР по математике 9 класс - ноябрь 2013 год
  • кдр по математике 9 класс - 13 ноября 2013 год
  • Решение варианта №9, КДР по математике 10 класс, март 2013 год.
  • Математика, тесты 9 класс. Подготовка к ГИА-2013, 3 модуля: алгебра, геометрия, реальная математика.
  • Решение 1 варианта КДР по математике, 9 класс - март 2013 год.
  • Категория: blog, Варианты КДР по математике 9 класс | Просмотров: 32330 | Добавил: dimention | Теги:

    

    Оставь свой комментарий!
    
    Учебники смотреть онлайн

    Математика
    Информатика
    Химия
    Copyright © 2017 vpr-klass.com | Если какой-либо из материалов нарушает ваши авторские права, просим немедленно связаться с Администрацией!!! Наш e-mail: admin@vpr-klass.com | Правообладателям | sitemap.xml