Образовательный сайт vpr-klass.com (впр-класс.ком) - готовые решения задач!
У нас вы найдете много учебных материалов: решебники, ГДЗ, тестовые задания, видео уроки, генераторы задач, решения упражнений гиа и егэ.
впр-класс.ком

Расскажи друзьям

Ищи САЙТ в Яндексе и Google по слову:
vpr-klass или впр-класс


Сохрани сайт в закладки - нажми Ctrl+D

20-03-2013, 13:35

Решение варианта №9, КДР по математике 10 класс, март 2013 год.


Версия для печати

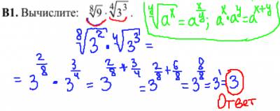
Давайте рассмотрим решение одного из вариантов КДР по математике за 10 класс - март 2013 год. Остальные варианты решаются подобным образом.

Решение варианта КДР по математике 10 класс, март 2013 год - Вариант №9.
Все картинки кликабельны!!!




ПОХОЖИЕ УЧЕБНЫЕ МАТЕРИАЛЫ:

  • Решение варианта кдр по математике 10 класс - 29.01.14.
  • Решение варианта кдр по математике 9 класс - 29.01.14
  • Варианты и ответы КДР по математике 9 класс - 29 января 2014
  • Решение заданий КДР по математике 9 класс - ноябрь 2013 год
  • Варианты КДР по математике 10 класс, март 2013 год.
  • Решение 1 варианта КДР по математике, 9 класс - март 2013 год.
  • Аннотация КДР по математике, 10 класс - март 2013 год.
  • Аннотация КДР по математике 9 класс, март 2013 год.
  • Варианты КДР по Геометрии 10 класс с ответами - март 2010 год.
  • Варианты КДР по Геометрии 10 класс с ответами - март 2010 год.
  • Категория: blog, КДР по математике 10 класс | Просмотров: 9721 | Добавил: dimention | Теги:

    

    Оставь свой комментарий!
    
    
    
    Учебники смотреть онлайн

    Математика
    Информатика
    Химия
    Copyright © 2017 vpr-klass.com | Если какой-либо из материалов нарушает ваши авторские права, просим немедленно связаться с Администрацией!!! Наш e-mail: admin@vpr-klass.com | Правообладателям | sitemap.xml