Образовательный сайт vpr-klass.com (впр-класс.ком) - готовые решения задач!
У нас вы найдете много учебных материалов: решебники, ГДЗ, тестовые задания, видео уроки, генераторы задач, решения упражнений гиа и егэ.
впр-класс.ком

Расскажи друзьям

Ищи САЙТ в Яндексе и Google по слову:
vpr-klass или впр-класс


Сохрани сайт в закладки - нажми Ctrl+D

14-03-2013, 13:59

Решение 1 варианта КДР по математике, 9 класс - март 2013 год.


Версия для печати

Решение варианта КДР (краевой диагностической работы) по математике - март 2013 год.
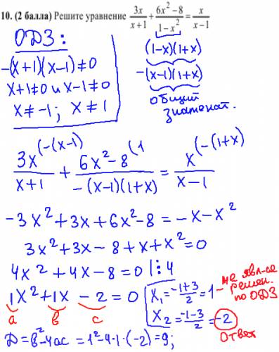
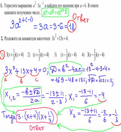
В 1-ом задании КДР по математике за 9 класс мы упрощаем выражение сложением степеней. Затем подставляем вместо буквы a число 6. Во 2-ом задании решаем уравнение по дискриминанту, находи корни.(все картинки кликабельны!)
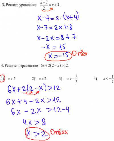
В 3-ем задании КДР за 9 класс, знаменатель перебрасываем вверх за знак равно с умножениеми решаем обычное линейное уравнение. В следующем задании рассматриваем линейное неравенство, которое решается почти также как линейное уравнение.
Вообщем смотрим на решение заданий КДР по математике, остальные задания тоже легко решаются.





ПОХОЖИЕ УЧЕБНЫЕ МАТЕРИАЛЫ:

  • Решение заданий КДР по математике 9 класс - ноябрь 2013 год
  • Решение варианта №9, КДР по математике 10 класс, март 2013 год.
  • Варианты КДР по математике 10 класс, март 2013 год.
  • ГИА по математике,видео обучение: построить график функции.
  • Построить график функции - гиа 2 часть(4 балла),№22-вариант 14
  • Построить график функции - гиа 2 часть(4 балла),№22-вариант 5
  • Построить график функции - гиа 2 часть(4 балла),№22-вариант 3
  • Сократите дробь - гиа 2 часть(2 балла),№19-вариант 20
  • Сократите дробь - гиа 2 часть(2 балла),№19-вариант 7
  • Уравнение с модулем,2
  • Категория: blog, Варианты КДР по математике 9 класс | Просмотров: 9937 | Добавил: dimention | Теги:

    

    Оставь свой комментарий!
    
    Учебники смотреть онлайн

    Математика
    Информатика
    Химия
    Copyright © 2017 vpr-klass.com | Если какой-либо из материалов нарушает ваши авторские права, просим немедленно связаться с Администрацией!!! Наш e-mail: admin@vpr-klass.com | Правообладателям | sitemap.xml