Образовательный сайт vpr-klass.com (впр-класс.ком) - готовые решения задач!
У нас вы найдете много учебных материалов: решебники, ГДЗ, тестовые задания, видео уроки, генераторы задач, решения упражнений гиа и егэ.
впр-класс.ком

Расскажи друзьям

Ищи САЙТ в Яндексе и Google по слову:
vpr-klass или впр-класс


Сохрани сайт в закладки - нажми Ctrl+D

4-02-2013, 18:57

Решение квадратного неравенства.


Версия для печати

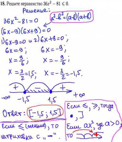
При решении задания ГИА по математике 2013г. из модуля Алгебра - "квадратное неравенство", мы сперва разложил его на множители по формуле разности квадратов. Затем приравняли к нулю и решили 2 простых уравнения. Отметили эти 2 числа на координатном луче и решили методом интервалов: начали справа со знака +, т.к. перед X2  стоит положителльное число 36. В итоге, решением неравенства является промежуток [-1,5;1,5].

Скачать решение.




ПОХОЖИЕ УЧЕБНЫЕ МАТЕРИАЛЫ:

  • ЕГЭ по математике 2014: тригонометрическое уравнение, задание С1
  • Пробный вариант ГИА от ФИПИ, модуль Алгебра.
  • Решение реального варианта гиа 2012 года.
  • Модуль Алгебра - Квадратное неравенство.
  • Укажите наибольшее из чисел.
  • Числа на числовом луче, решение неравенств.
  • Найти координаты точки пересечения графиков.
  • Решение линейного уравнения - модуль Алгебра.
  • Число на координатном луче, выбрать неравенство.
  • Презентация по алгебре, для 8-9 классов на тему: Метод интервалов.
  • Категория: Учебные материалы, Задания ГИА ОГЭ по математике 2017 - решение, подг | Просмотров: 6184 | Добавил: dimention | Теги:

    

    Оставь свой комментарий!
    
    Учебники смотреть онлайн

    Математика
    Информатика
    Химия
    Copyright © 2017 vpr-klass.com | Если какой-либо из материалов нарушает ваши авторские права, просим немедленно связаться с Администрацией!!! Наш e-mail: admin@vpr-klass.com | Правообладателям | sitemap.xml