Разбор реального варианта ГИА по математике за 2012 год.
(все картинки кликабельны и увеличиваются)
Рассмотрим решение первого задания ГИА, в котором нужно вычислить числовые выражения и соотнести с ответами. Как видно из рисунка, здесь от нас требуется умение переводить десятичные дроби в обыкновенные и наоборот.
Во втором задании гиа - на график реальной зависимости, мы находим атмосферное давление на Белухе и Эвересте, а затем вычисляем разность.
Задача ГИА №3 относится к задачам на проценты, где по процентной скидке мы вычисляем новую стоимость футболки, а затем находим общую стоимость футболки без скидки и со скидкой.
В четвертом задании реального варианта нам представлен числовой луч с числами a и с, где а=-3,8; c=-0,8 (это примерные значения). подставим данные числа в 4 разных неравенства и убедимся что первое неравенство будет неверным, т.к. два не может быть меньше нуля.
В пятом задании мы находим наибольшее (максимальное) число. Здесь просто нужно знать свойства квадратного корня (под корень заносим с умножением 2 раза число, стоящее перед ним). Видно, что корень из 36 - это наибольшее число.
В задании №6 мы просто составляем пропорцию и вычисляем неизвестную переменную x, получаем в ответе 4,5. Здесь не забываем, что сперва перемножаем числа по диагонали и делим их произведение на оствашееся третье число.
В седьмом задании из рельного варианта ГИА, мы решаем обычное квадратное уравнение по дискриминанту. Главное внимательно выписать все коэфиициенты a, b, с и подставить в формулу. Затем вычислим корень квадартный из дискриминанта и подстави в формулы нахождения корней уравнения. В итоге получим 2 корня: 5 и -3.
Восьмое задание ГИА - это геометрическая задача с ромбом, в которой требуется найти длины отрезков стороны ромба. Здесь советую обратить внимание на прямоугольный треугольник, и вспомнить определение косинуса острого угла: он равен отношению прилежащего катета к гипотенузе. Таким образом, мы найдем этот прилежащий катет, а именно нужный отрезок x=19. Ну, а дальше легко находим y=38-19=19. В ответе задачи запишем число 19.
Следующее решение задачи требует знаний за 7 класс - где нужно упростить выражение по формулам сокращенного умножения, а затем подставить туда число. Упрощаем 1-ое выражение по формуле квадрата разности, а во втором выржании - раскрываем скобки, получим 4-8с, подставим вместо с число равное -1/8 и посчитаем. В ответе получится 5.
В 10 задании ГИА реального варианта представлена задача на теорию вероятности. Решается быстро: нужно вспомнить, что вероятность любого события равна отношеннию количества данного случая на общее количество всех случаев. Т.е. мы делим количество мальчиков на всего детей, получим вероятность равную 7/25.
Следующее задание очень просто решается и требует от нас логического мышления, здесь мы находим худшее время, чем 5,9 секунды - данные беговые дорожки нам не подойдут. Останется вторая дорожка, получившая зачет.
В 12 задаче мы должны знать свойства графиков функций, уметь находить значения x при значениях y и наоборот, знать где искать максимальное или минимальное значение квадратичной функции и т.д. Второе утверждение в итоге будет неверным.
Задание из реального варианта ГИА №13 требует от нас знания темы на арифметическую прогрессию. Как обычно, вначале находим разность d,
а затем с ее помощью неизвестный член прогресии. Получим a91=533.
Задание №14 по геометрии - задача на окружность, вписанный и центральный углы. Самое главное - это помнить, что в любой окружности вписанный угол всегда в 2 раза меньше центрального угла, т.е. 110/2=55 градусов.
15-ое задание ГИА тоже по геометрии, где мы должны определить верные геометрические утверждения. Получим 1,2 верные утверждения. Третье утверждение точно неверно, т.к. такого признака равенства треугольников точно не существует.
В 16 задании по алгебре, нам нужно решить систему неравенств и затем отметить решения на координатном луче, полуим ответ от -5 до -4, наименьшее число будет -5 (с учетом квадратной скобки, т.е. включительно -5 подойдет).
Следующее задание на составление пропорции, нужно получить буквенное выражение. Составляя буквенную пропорцию, километры пишем под километрами, литры - под литрами. Получим x=(87*a)/200.
В задании гиа №18, от нас требуется решить систему уравнений по рисунку. Очень легкое задание - просто смотим на рисунок, ищем нужные графики и находим точку пересечения этих графиков. Координаты точки и будут нашим ответом: (0;-4).
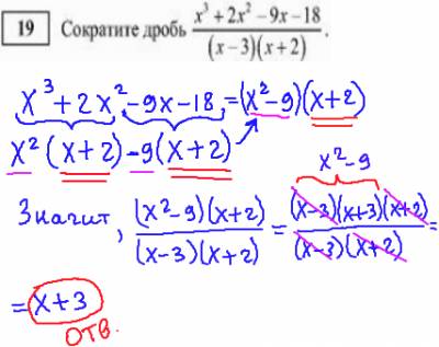
Задание ГИА под номером 19, относится ко 2 части, и за него будет даваться 2 балла, решим его. Вначале мы раскладываем числитель дроби на отдельные скобки, вынося общие множители за скобки в 1-ой и 2-ой частях, получим (x2-9)(x+2). Затем (x2-9)=(x-3)(x+3) по формуле разности квадратов. Таким образом, сократим одинаковые скобки в числителе и знаменателе - останется x+3.

За следующее задание из реального варианта ГИА под №21 дается целых 3 балла. Здесь нам нужно вспомнить тему по арифметической прогрессии и уметь решать систему уравнений. В начале удобо будет вычесть из 1-го уравнения 2-ое, мы получим новое уравнение, из которого выразим a3=a1-150. Также, выразим a3 через a1 и разность d (по стандартной формуле). Отсюда разность d равна -75. Далее, преобразуем 1-ое уравнение из первоначальной системы a1+a2=200, заменив a2 на a1+d. Тем самым, найдем a1=137,5. Следующие члены также легко найдем, вычитая нашу разность -75, получим а2=62,5; a3=-12,5 данные члены прогрессии легко проверить, подставив их в систему уравнений, все сойдется).
В последнем рассматриваемом задании гиа под номером 22 (за него дается аж целых 4 балла), нужно будет по точкам построить график, найти вершину, а затем проверить чему будет равна прямая y или с, когда будет пересекать график ровно в трех точках. Судя по рисунку, прямая y=с равна нулю, т.е. с=0.
Надеюсь, что данное решение реального варианта гиа по математике поможет вам в подготовке к экзамену 2013 года.