Образовательный сайт vpr-klass.com (впр-класс.ком) - готовые решения задач!
У нас вы найдете много учебных материалов: решебники, ГДЗ, тестовые задания, видео уроки, генераторы задач, решения упражнений гиа и егэ.
впр-класс.ком

Расскажи друзьям

Ищи САЙТ в Яндексе и Google по слову:
vpr-klass или впр-класс


Сохрани сайт в закладки - нажми Ctrl+D

10-03-2013, 08:17

Решение тригонометрического уравнения, синус двойного угла.


Версия для печати

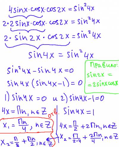
При решении данного тригонометрического уравнения за 10-11 класс, мы 2 раза воспользовались формулой синуса двойного угла. Т.е. упростили левую часть уравнения, где вначале вместо 4*sinx*cosx получили 2*sin2x, а затем вместо 2*sin2x*cos2x получили sin4x. Таким образом, sin4x=(sin4x)^2. Перенесли синусы в одну сторону, приравняли к нулю, вынесли синус за скобку и получили 2 корня. Здесь 2 частных случая, когда синус равен 0 и синус равен 1 - решаем по формулам. Ответ: x1=Пn/4; x2=П/8 + Пn/2; где n принадлжеит Z.


Скачать решение.

Видеоурок:




ПОХОЖИЕ УЧЕБНЫЕ МАТЕРИАЛЫ:

  • ЕГЭ по математике c1
  • ЕГЭ по математике b6
  • Подготовка к ЕГЭ по математике 2014 - Решение задачи b7
  • Подготовка к ЕГЭ по математике 2014 - Решение задачи b5
  • ЕГЭ по математике 2014: тригонометрическое уравнение, задание С1
  • ЕГЭ 2014 по математике - Косинус угла в прямоугольном треугольнике
  • Презентация по математике: Синус, косинус, тангенс прямоугольного треугольника
  • Решение тригонометрического уравнения
  • Задача ЕГЭ B6: Синус и косинус угла треугольника.
  • Задание ГИА по геометрии: Сторона правильного шестиугольника.
  • Категория: Учебные материалы, ЕГЭ по математике 2017 - решение заданий, подготов | Просмотров: 5827 | Добавил: dimention | Теги:

    

    Оставь свой комментарий!
    
    Учебники смотреть онлайн

    Математика
    Информатика
    Химия
    Copyright © 2017 vpr-klass.com | Если какой-либо из материалов нарушает ваши авторские права, просим немедленно связаться с Администрацией!!! Наш e-mail: admin@vpr-klass.com | Правообладателям | sitemap.xml