Образовательный сайт vpr-klass.com (впр-класс.ком) - готовые решения задач!
У нас вы найдете много учебных материалов: решебники, ГДЗ, тестовые задания, видео уроки, генераторы задач, решения упражнений гиа и егэ.
впр-класс.ком

Расскажи друзьям

Ищи САЙТ в Яндексе и Google по слову:
vpr-klass или впр-класс


Сохрани сайт в закладки - нажми Ctrl+D

15-02-2013, 08:42

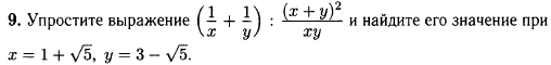
Тест онлайн по математике 9 класс: ГИА 2013, модуль Алгебра, №2.


Версия для печати

Подготовьтесь к ГИА по математике с помощью нашего онлайн теста по алгебраическим заданиям 9 класса (модуль "Алгебра"). В тесте 10 вопросов-заданий ГИА, которые перемешиваются в произвольном порядке. Кроме того, ответы тоже будут в случайном порядке. Наш онлайн тест создан в обучающем режиме, т.е. на все тестовые задания ГИА есть решения. В конце онлайн теста по математике 2013, выдается результат: общее количество верных ответов на вопросы (с 1-ой попытки). Данный онлайн тест отлично подойдет учащимся 9 классов для подготовки к ГИА по математике.
Выберите верный вариант ответа!

 




ПОХОЖИЕ УЧЕБНЫЕ МАТЕРИАЛЫ:

  • Задачи и примеры по математике 4 класс - Деление на трёхзначное число
  • Задачи и примеры по математике 4 класс на повторение
  • Примеры по математике 4 класс - Деление на двузначное число
  • Задачи по математике 4 класс на повторение
  • Задачи по математике 4 класс - Деление многозначных чисел на однозначные
  • Примеры по математике 4 класс - Умножение чисел
  • Примеры по математике 4 класс - Уравнения
  • Контрольная работа по математике 4 класс - Единицы массы
  • Задачи по математике 4 класс - Таблица единиц площади
  • Задачи по математике 4 класс - Единицы длины
  • Категория: Учебные материалы, Тесты ГИА по математике 2017, 9 класс - онлайн | Просмотров: 38927 | Добавил: dimention | Теги:

    

    Оставь свой комментарий!
    
    Учебники смотреть онлайн

    Математика
    Информатика
    Химия
    Copyright © 2017 vpr-klass.com | Если какой-либо из материалов нарушает ваши авторские права, просим немедленно связаться с Администрацией!!! Наш e-mail: admin@vpr-klass.com | Правообладателям | sitemap.xml