Образовательный сайт vpr-klass.com (впр-класс.ком) - готовые решения задач!
У нас вы найдете много учебных материалов: решебники, ГДЗ, тестовые задания, видео уроки, генераторы задач, решения упражнений гиа и егэ.
впр-класс.ком

Расскажи друзьям

Ищи САЙТ в Яндексе и Google по слову:
vpr-klass или впр-класс


Сохрани сайт в закладки - нажми Ctrl+D

18-05-2014, 20:48

ЕГЭ 2014 по математике - решение досрочного варианта


Версия для печати

ЕГЭ 2014 по математике - решение досрочного варианта.


решение задачи ЕГЭ по математике в1
решение задачи ЕГЭ по математике в2
решение задачи ЕГЭ по математике в3
решение задачи ЕГЭ по математике в4
решение задачи ЕГЭ по математике в5
решение задачи ЕГЭ по математике в6
решение задачи ЕГЭ по математике в7
решение задачи ЕГЭ по математике в8
решение задачи ЕГЭ по математике в9
решение задачи ЕГЭ по математике в10
решение задачи ЕГЭ по математике в11
решение задачи ЕГЭ по математике в12
решение задачи ЕГЭ по математике в13
решение задачи ЕГЭ по математике в14
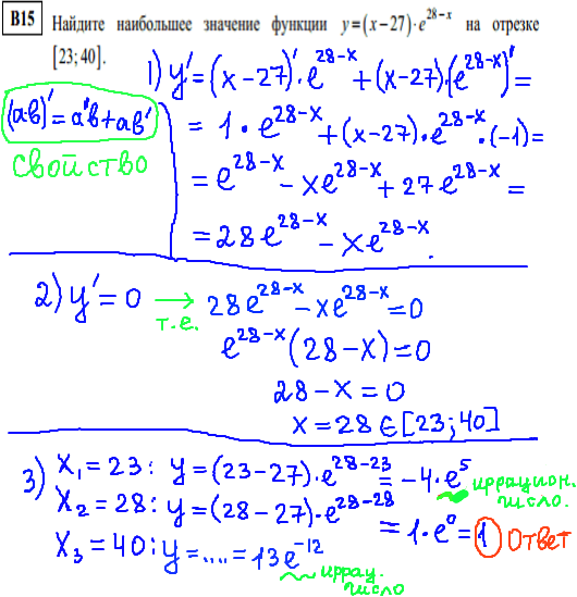
решение задачи ЕГЭ по математике в15




ПОХОЖИЕ УЧЕБНЫЕ МАТЕРИАЛЫ:

  • Тест по математике с ответами - досрочное ЕГЭ 2014
  • КИМы ГИА по математике 2014 - решение варианта №101
  • Пробный ЕГЭ 2014 Математика - ФЦТ ФИПИ
  • Досрочный ЕГЭ по математике 28 апреля 2014 - Критерии части С
  • Досрочный ЕГЭ по математике - резервный день 08 мая 2014
  • Досрочный егэ по математике 2014
  • ЕГЭ по математике 2014 - задание в11
  • Математика егэ 2014 - тренировочный вариант, решение
  • Пробники ЕГЭ по математике 2014 - 4 варианта с ответами
  • Пробники гиа по математике 2014 - 2 варианта
  • Категория: Учебные материалы, ЕГЭ по математике 2017 - решение заданий, подготов | Просмотров: 27898 | Добавил: dimention | Теги:

    

    Оставь свой комментарий!
    
    Учебники смотреть онлайн

    Математика
    Информатика
    Химия
    Copyright © 2017 vpr-klass.com | Если какой-либо из материалов нарушает ваши авторские права, просим немедленно связаться с Администрацией!!! Наш e-mail: admin@vpr-klass.com | Правообладателям | sitemap.xml