Образовательный сайт vpr-klass.com (впр-класс.ком) - готовые решения задач!
У нас вы найдете много учебных материалов: решебники, ГДЗ, тестовые задания, видео уроки, генераторы задач, решения упражнений гиа и егэ.
впр-класс.ком

Расскажи друзьям

Ищи САЙТ в Яндексе и Google по слову:
vpr-klass или впр-класс


Сохрани сайт в закладки - нажми Ctrl+D

21-03-2014, 15:50

Решение реального варианта егэ по математике 2013 год - Центр


Версия для печати

Решение реального варианта егэ по математике 2013 год - Центр.

Выкладываю решение реального варианта егэ по математике за 2013 год - регион Центр, вариант №1. Решены 14 заданий B из первой части, а также задача С1. Данные разборы задач будут помогать учащимся 11 класса при подготовке в 2014 году к экзамену ЕГЭ. Наши картинки с решениями способствуют лучшему пониманию непростых математических задач. Также этот реальный вариант ЕГЭ знакомит учеников с возможными и примерными КИМами по математике этого года.


ЕГЭ по математике - реальный вариант 2013 - b1
ЕГЭ по математике - реальный вариант 2013 - b2
ЕГЭ по математике - реальный вариант 2013 - b3
ЕГЭ по математике - реальный вариант 2013 - b4
ЕГЭ по математике - реальный вариант 2013 - b5
ЕГЭ по математике - реальный вариант 2013 - b6
ЕГЭ по математике - реальный вариант 2013 - b7
ЕГЭ по математике - реальный вариант 2013 - b8
ЕГЭ по математике - реальный вариант 2013 - b9
ЕГЭ по математике - реальный вариант 2013 - b10
ЕГЭ по математике - реальный вариант 2013 - b11
ЕГЭ по математике - реальный вариант 2013 - b12
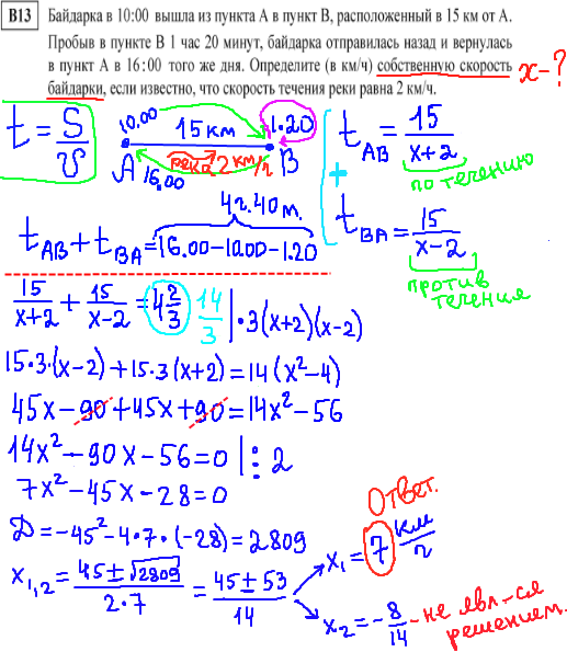
ЕГЭ по математике - реальный вариант 2013 - b13
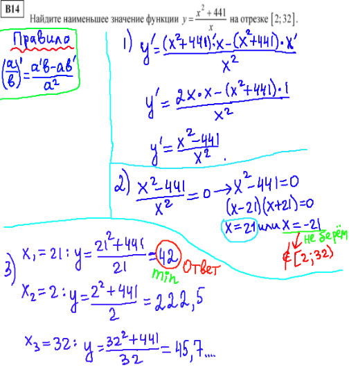
ЕГЭ по математике - реальный вариант 2013 - b14
ЕГЭ по математике - реальный вариант 2013 - c1


Категория: Учебные материалы, ЕГЭ по математике 2017 - решение заданий, подготов | Просмотров: 15178 | Добавил: dimention | Теги:



Оставь свой комментарий!

Учебники смотреть онлайн

Математика
Информатика
Химия
Copyright © 2017 vpr-klass.com | Если какой-либо из материалов нарушает ваши авторские права, просим немедленно связаться с Администрацией!!! Наш e-mail: admin@vpr-klass.com | Правообладателям | sitemap.xml