Образовательный сайт vpr-klass.com (впр-класс.ком) - готовые решения задач!
У нас вы найдете много учебных материалов: решебники, ГДЗ, тестовые задания, видео уроки, генераторы задач, решения упражнений гиа и егэ.
впр-класс.ком

Расскажи друзьям

Ищи САЙТ в Яндексе и Google по слову:
vpr-klass или впр-класс


Сохрани сайт в закладки - нажми Ctrl+D

1-09-2013, 10:35

Математика егэ 2014 - онлайн тест 11 класс


Версия для печати

Математика егэ 2014 - онлайн тест за 11 класс.

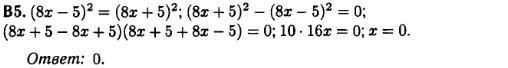
Тест предназначен для учащихся 11 класса , с целью их поготовки к экзамену ЕГЭ по математике . Благодаря 14 интересным задачам из 1 части B - с решением, вы сможете проверить себя, и понять принцип решения многих заданий.


Выберите верный вариант ответа!

 




ПОХОЖИЕ УЧЕБНЫЕ МАТЕРИАЛЫ:

  • Задачи и примеры по математике 4 класс - Деление на трёхзначное число
  • Задачи и примеры по математике 4 класс на повторение
  • Примеры по математике 4 класс - Деление на двузначное число
  • Задачи по математике 4 класс на повторение
  • Задачи по математике 4 класс - Деление многозначных чисел на однозначные
  • Примеры по математике 4 класс - Умножение чисел
  • Примеры по математике 4 класс - Уравнения
  • Контрольная работа по математике 4 класс - Единицы массы
  • Задачи по математике 4 класс - Таблица единиц площади
  • Задачи по математике 4 класс - Единицы длины
  • Категория: Учебные материалы, Тесты ЕГЭ по математике 2017, 11 класс - онлайн | Просмотров: 5228 | Добавил: dimention | Теги:

    

    Оставь свой комментарий!
    
    Учебники смотреть онлайн

    Математика
    Информатика
    Химия
    Copyright © 2017 vpr-klass.com | Если какой-либо из материалов нарушает ваши авторские права, просим немедленно связаться с Администрацией!!! Наш e-mail: admin@vpr-klass.com | Правообладателям | sitemap.xml