Образовательный сайт vpr-klass.com (впр-класс.ком) - готовые решения задач!
У нас вы найдете много учебных материалов: решебники, ГДЗ, тестовые задания, видео уроки, генераторы задач, решения упражнений гиа и егэ.
впр-класс.ком

Расскажи друзьям

Ищи САЙТ в Яндексе и Google по слову:
vpr-klass или впр-класс


Сохрани сайт в закладки - нажми Ctrl+D

26-08-2013, 19:09

Математике егэ 2014 - онлайн тест №1


Версия для печати

Онлайн тест ЕГЭ по математике 2014 год - №1

Пройдите наш тест по математике для учеников 11 класса, готовьтесь к егэ 2014 с интересом. В тесте ЕГЭ представлены задания с выбором ответа, на которые есть решения.


Онлайн тест ЕГЭ по математике 11 класс

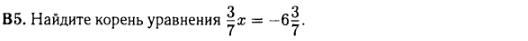
Выберите верный вариант ответа!

 




ПОХОЖИЕ УЧЕБНЫЕ МАТЕРИАЛЫ:

  • Задачи и примеры по математике 4 класс - Деление на трёхзначное число
  • Задачи и примеры по математике 4 класс на повторение
  • Примеры по математике 4 класс - Деление на двузначное число
  • Задачи по математике 4 класс на повторение
  • Задачи по математике 4 класс - Деление многозначных чисел на однозначные
  • Примеры по математике 4 класс - Умножение чисел
  • Примеры по математике 4 класс - Уравнения
  • Контрольная работа по математике 4 класс - Единицы массы
  • Задачи по математике 4 класс - Таблица единиц площади
  • Задачи по математике 4 класс - Единицы длины
  • Категория: Учебные материалы, Тесты ЕГЭ по математике 2017, 11 класс - онлайн | Просмотров: 18153 | Добавил: dimention | Теги:

    

    Оставь свой комментарий!
    
    Учебники смотреть онлайн

    Математика
    Информатика
    Химия
    Copyright © 2017 vpr-klass.com | Если какой-либо из материалов нарушает ваши авторские права, просим немедленно связаться с Администрацией!!! Наш e-mail: admin@vpr-klass.com | Правообладателям | sitemap.xml