Образовательный сайт vpr-klass.com (впр-класс.ком) - готовые решения задач!
У нас вы найдете много учебных материалов: решебники, ГДЗ, тестовые задания, видео уроки, генераторы задач, решения упражнений гиа и егэ.
впр-класс.ком

Расскажи друзьям

Ищи САЙТ в Яндексе и Google по слову:
vpr-klass или впр-класс


Сохрани сайт в закладки - нажми Ctrl+D

12-08-2013, 14:05

Контрольная работа по математике 6 класс - Сложение чисел с помощью координатной прямой


Версия для печати

Контрольная работа - математика 6 класс - Сложение чисел на координатной прямой.
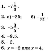
Ответы






ПОХОЖИЕ УЧЕБНЫЕ МАТЕРИАЛЫ:

  • Итоговая контрольная работа по математике 6 класс
  • Математика 6 класс - Контрольная работа - Сложение положительных и отрицательных чисел
  • Контрольная работа по математике 6 класс - противоположные числа
  • Презентация по математике 6 класс: Сложение целых чисел
  • Контрольная работа по математике 6 класс - Сложение чисел с разными знаками
  • Контрольная работа по математике 6 класс - Сложение отрицательных чисел
  • Контрольная работа по математике 6 класса - Координаты на прямой
  • Контрольная работа по математике 6 класс: Действия с дробями
  • Презентация по математике, для 5-6 класса на тему: Сложение чисел с разными знаками.
  • Презентация по математике для 5 класса на тему - Сложение чисел с помощью координатной прямой.
  • Категория: Учебные материалы, Задания по математике 6 класс | Просмотров: 7521 | Добавил: dimention | Теги:

    

    Оставь свой комментарий!
    
    Учебники смотреть онлайн

    Математика
    Информатика
    Химия
    Copyright © 2017 vpr-klass.com | Если какой-либо из материалов нарушает ваши авторские права, просим немедленно связаться с Администрацией!!! Наш e-mail: admin@vpr-klass.com | Правообладателям | sitemap.xml