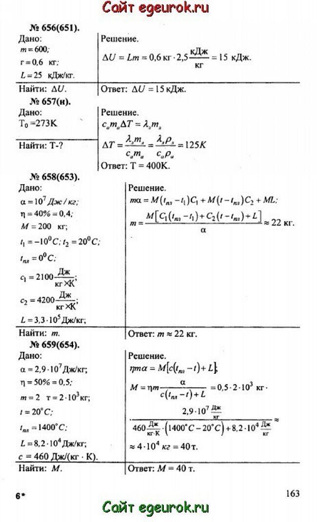
Решебник и ГДЗ по физике 10-11 класс Рымкевич - задачи №656-659


Вернуться на главную страницу сайта - vpr-klass.com

Решение задач 653-655 Смотреть все задания Решение задач 660-668

Решебник физика 10-11 класс Рымкевич - задачник: задачи номер №656-659.

Решебник и ГДЗ по физике 10-11 класс Рымкевич - решение задачи номер №656-659.
Решение задач 653-655 Смотреть все задания Решение задач 660-668


Вернуться на главную страницу сайта vpr-klass.com