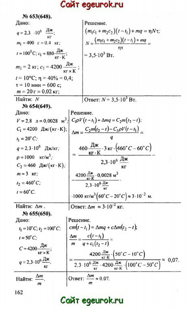
Решебник и ГДЗ по физике 10-11 класс Рымкевич - задачи №653-655


Вернуться на главную страницу сайта - vpr-klass.com

Решение задач 650-652 Смотреть все задания Решение задач 656-659

Решебник физика 10-11 класс Рымкевич - задачник: задачи номер №653-655.

Решебник и ГДЗ по физике 10-11 класс Рымкевич - решение задачи номер №653-655.
Решение задач 650-652 Смотреть все задания Решение задач 656-659


Вернуться на главную страницу сайта vpr-klass.com