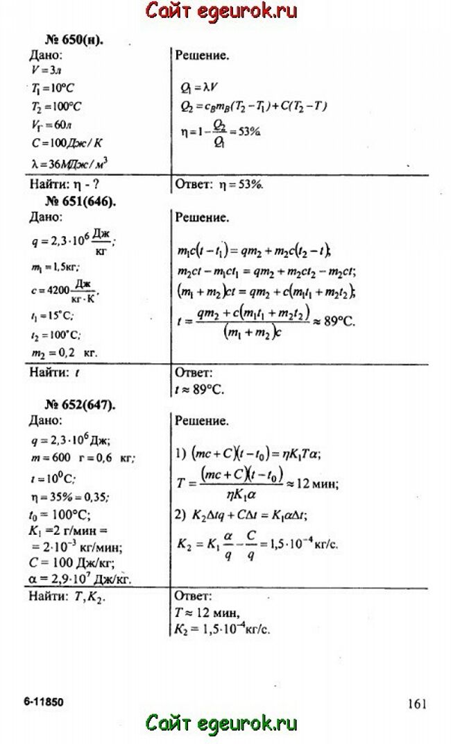
Решебник и ГДЗ по физике 10-11 класс Рымкевич - задачи №650-652


Вернуться на главную страницу сайта - vpr-klass.com

Решение задач 647-649 Смотреть все задания Решение задач 653-655

Решебник физика 10-11 класс Рымкевич - задачник: задачи номер №650-652.

Решебник и ГДЗ по физике 10-11 класс Рымкевич - решение задачи номер №650-652.
Решение задач 647-649 Смотреть все задания Решение задач 653-655


Вернуться на главную страницу сайта vpr-klass.com