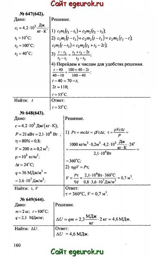
Решебник и ГДЗ по физике 10-11 класс Рымкевич - задачи №647-649


Вернуться на главную страницу сайта - vpr-klass.com

Решение задач 644-646 Смотреть все задания Решение задач 650-652

Решебник физика 10-11 класс Рымкевич - задачник: задачи номер №647-649.

Решебник и ГДЗ по физике 10-11 класс Рымкевич - решение задачи номер №647-649.
Решение задач 644-646 Смотреть все задания Решение задач 650-652


Вернуться на главную страницу сайта vpr-klass.com