Решебник и ГДЗ по физике 10-11 класс Рымкевич - задачи №644-646


Вернуться на главную страницу сайта - vpr-klass.com

Решение задач 642-643 Смотреть все задания Решение задач 647-649

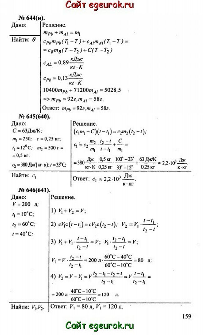
Решебник физика 10-11 класс Рымкевич - задачник: задачи номер №644-646.

Решебник и ГДЗ по физике 10-11 класс Рымкевич - решение задачи номер №644-646.
Решение задач 642-643 Смотреть все задания Решение задач 647-649


Вернуться на главную страницу сайта vpr-klass.com