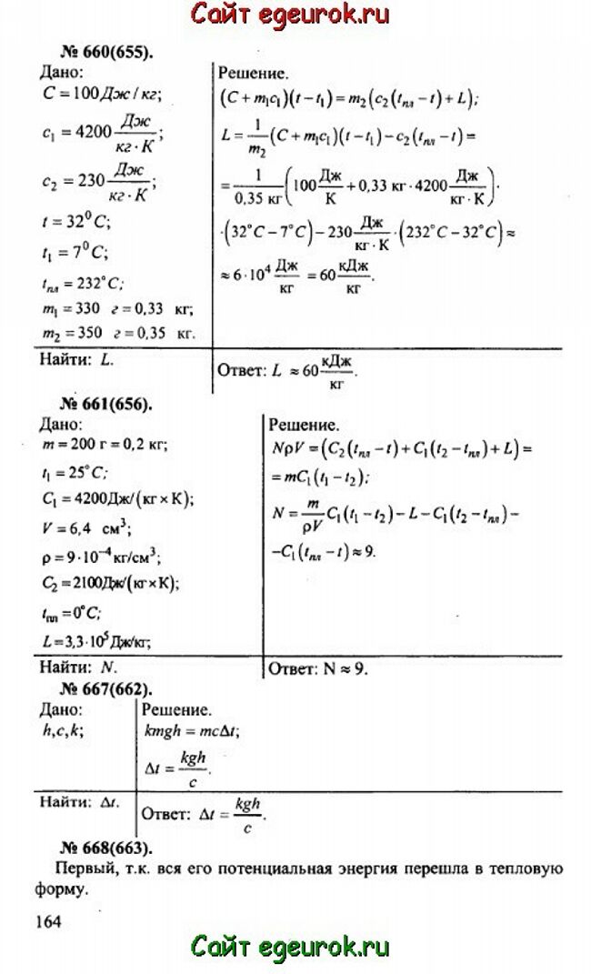
Решебник и ГДЗ по физике 10-11 класс Рымкевич - задачи №660-668


Вернуться на главную страницу сайта - vpr-klass.com

Решение задач 656-659 Смотреть все задания Решение задач 669-672

Решебник физика 10-11 класс Рымкевич - задачник: задачи номер №660-668.

Решебник и ГДЗ по физике 10-11 класс Рымкевич - решение задачи номер №660-668.
Решение задач 656-659 Смотреть все задания Решение задач 669-672


Вернуться на главную страницу сайта vpr-klass.com