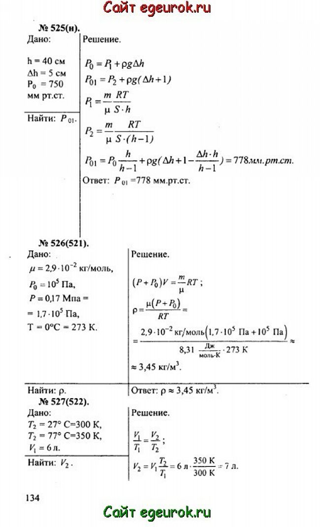
Решебник и ГДЗ по физике 10-11 класс Рымкевич - задачи №525-527


Вернуться на главную страницу сайта - vpr-klass.com

Решение задач 523-524 Смотреть все задания Решение задач 528-531

Решебник физика 10-11 класс Рымкевич - задачник: задачи номер №525-527.

Решебник и ГДЗ по физике 10-11 класс Рымкевич - решение задачи номер №525-527.
Решение задач 523-524 Смотреть все задания Решение задач 528-531


Вернуться на главную страницу сайта vpr-klass.com