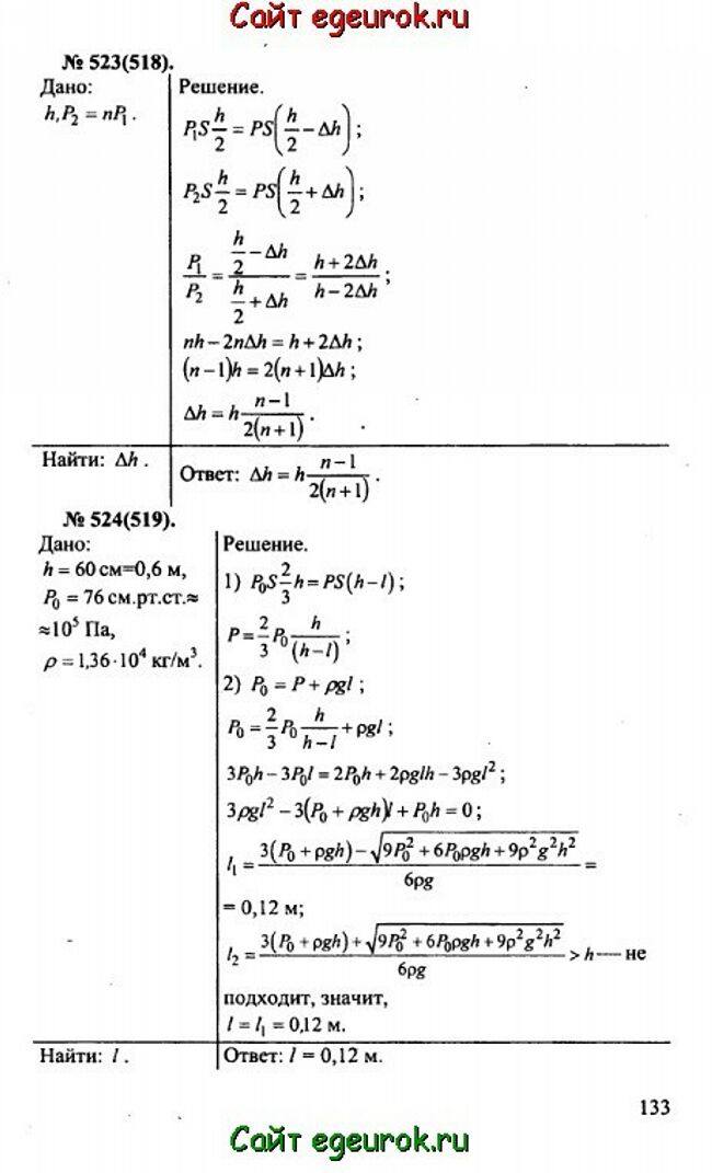
Решебник и ГДЗ по физике 10-11 класс Рымкевич - задачи №523-524


Вернуться на главную страницу сайта - vpr-klass.com

Решение задач 520-522 Смотреть все задания Решение задач 525-527

Решебник физика 10-11 класс Рымкевич - задачник: задачи номер №523-524.

Решебник и ГДЗ по физике 10-11 класс Рымкевич - решение задачи номер №523-524.
Решение задач 520-522 Смотреть все задания Решение задач 525-527


Вернуться на главную страницу сайта vpr-klass.com