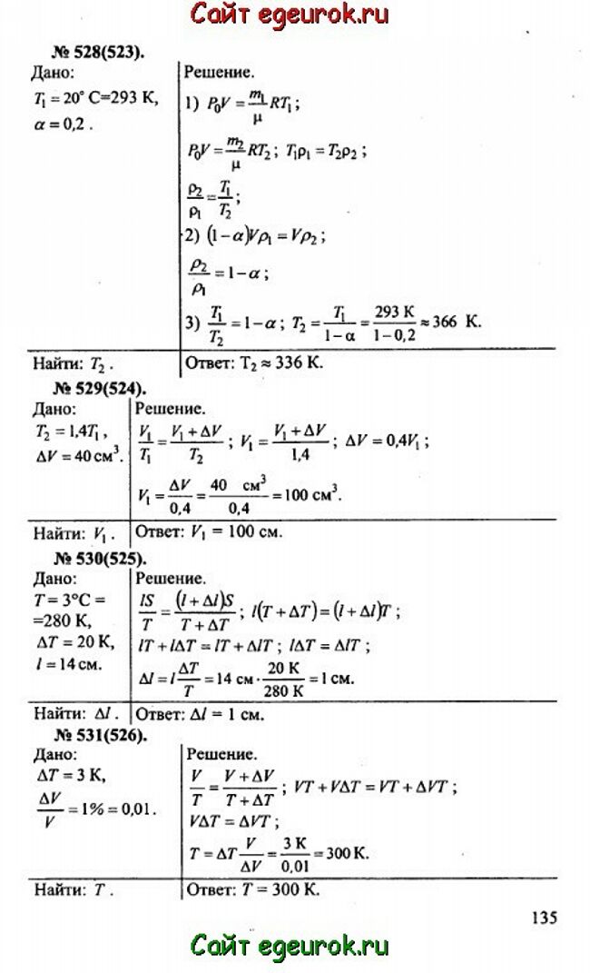
Решебник и ГДЗ по физике 10-11 класс Рымкевич - задачи №528-531


Вернуться на главную страницу сайта - vpr-klass.com

Решение задач 525-527 Смотреть все задания Решение задач 532-537

Решебник физика 10-11 класс Рымкевич - задачник: задачи номер №528-531.

Решебник и ГДЗ по физике 10-11 класс Рымкевич - решение задачи номер №528-531.
Решение задач 525-527 Смотреть все задания Решение задач 532-537


Вернуться на главную страницу сайта vpr-klass.com