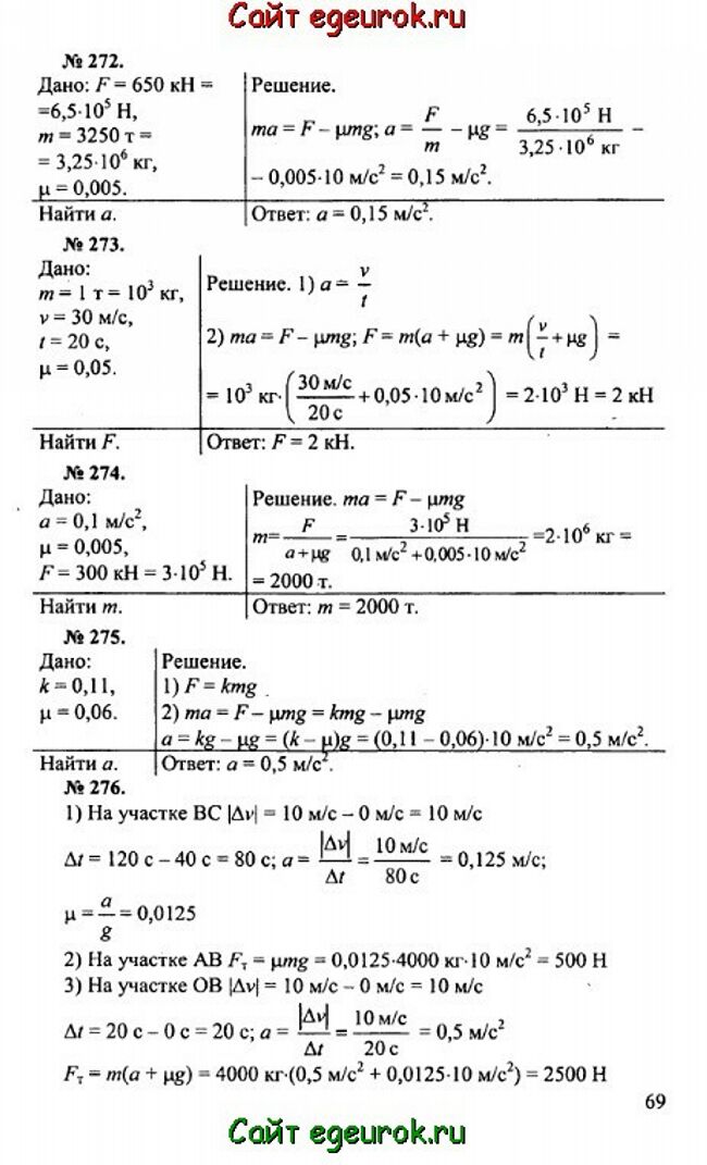
Решебник и ГДЗ по физике 10-11 класс Рымкевич - задачи №272-276


Вернуться на главную страницу сайта - vpr-klass.com

Решение задач 267-271 Смотреть все задания Решение задач 277-281

Решебник физика 10-11 класс Рымкевич - задачник: задачи номер №272-276.

Решебник и ГДЗ по физике 10-11 класс Рымкевич - решение задачи номер №272-276.
Решение задач 267-271 Смотреть все задания Решение задач 277-281


Вернуться на главную страницу сайта vpr-klass.com