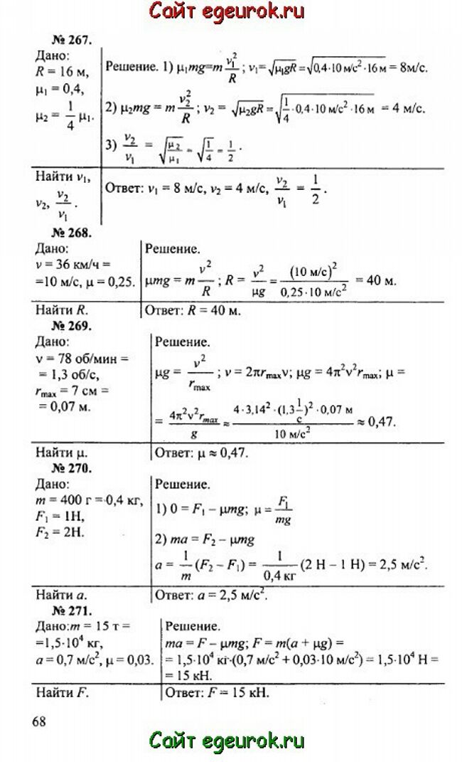
Решебник и ГДЗ по физике 10-11 класс Рымкевич - задачи №267-271


Вернуться на главную страницу сайта - vpr-klass.com

Решение задач 263-266 Смотреть все задания Решение задач 272-276

Решебник физика 10-11 класс Рымкевич - задачник: задачи номер №267-271.

Решебник и ГДЗ по физике 10-11 класс Рымкевич - решение задачи номер №267-271.
Решение задач 263-266 Смотреть все задания Решение задач 272-276


Вернуться на главную страницу сайта vpr-klass.com