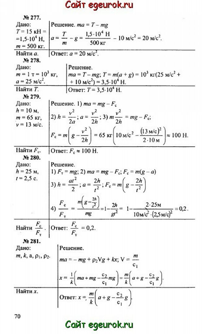
Решебник и ГДЗ по физике 10-11 класс Рымкевич - задачи №277-281


Вернуться на главную страницу сайта - vpr-klass.com

Решение задач 272-276 Смотреть все задания Решение задач 282

Решебник физика 10-11 класс Рымкевич - задачник: задачи номер №277-281.

Решебник и ГДЗ по физике 10-11 класс Рымкевич - решение задачи номер №277-281.
Решение задач 272-276 Смотреть все задания Решение задач 282


Вернуться на главную страницу сайта vpr-klass.com