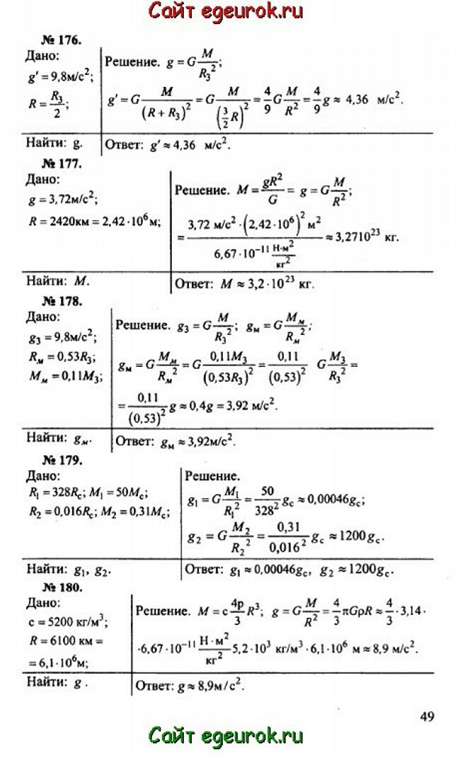
Решебник и ГДЗ по физике 10-11 класс Рымкевич - задачи №176-180


Вернуться на главную страницу сайта - vpr-klass.com

Решение задач 171-175 Смотреть все задания Решение задач 181-187

Решебник физика 10-11 класс Рымкевич - задачник: задачи номер №176-180.

Решебник и ГДЗ по физике 10-11 класс Рымкевич - решение задачи номер №176-180.
Решение задач 171-175 Смотреть все задания Решение задач 181-187


Вернуться на главную страницу сайта vpr-klass.com