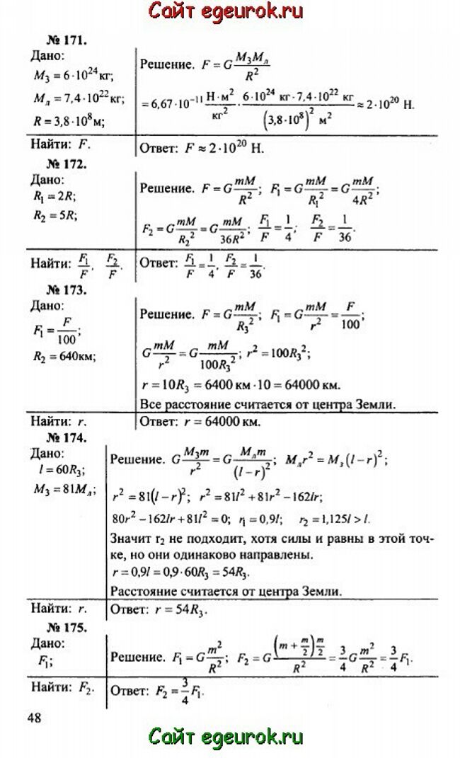
Решебник и ГДЗ по физике 10-11 класс Рымкевич - задачи №171-175


Вернуться на главную страницу сайта - vpr-klass.com

Решение задач 165-170 Смотреть все задания Решение задач 176-180

Решебник физика 10-11 класс Рымкевич - задачник: задачи номер №171-175.

Решебник и ГДЗ по физике 10-11 класс Рымкевич - решение задачи номер №171-175.
Решение задач 165-170 Смотреть все задания Решение задач 176-180


Вернуться на главную страницу сайта vpr-klass.com