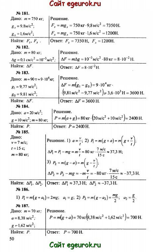
Решебник и ГДЗ по физике 10-11 класс Рымкевич - задачи №181-187


Вернуться на главную страницу сайта - vpr-klass.com

Решение задач 176-180 Смотреть все задания Решение задач 188-191

Решебник физика 10-11 класс Рымкевич - задачник: задачи номер №181-187.

Решебник и ГДЗ по физике 10-11 класс Рымкевич - решение задачи номер №181-187.
Решение задач 176-180 Смотреть все задания Решение задач 188-191


Вернуться на главную страницу сайта vpr-klass.com