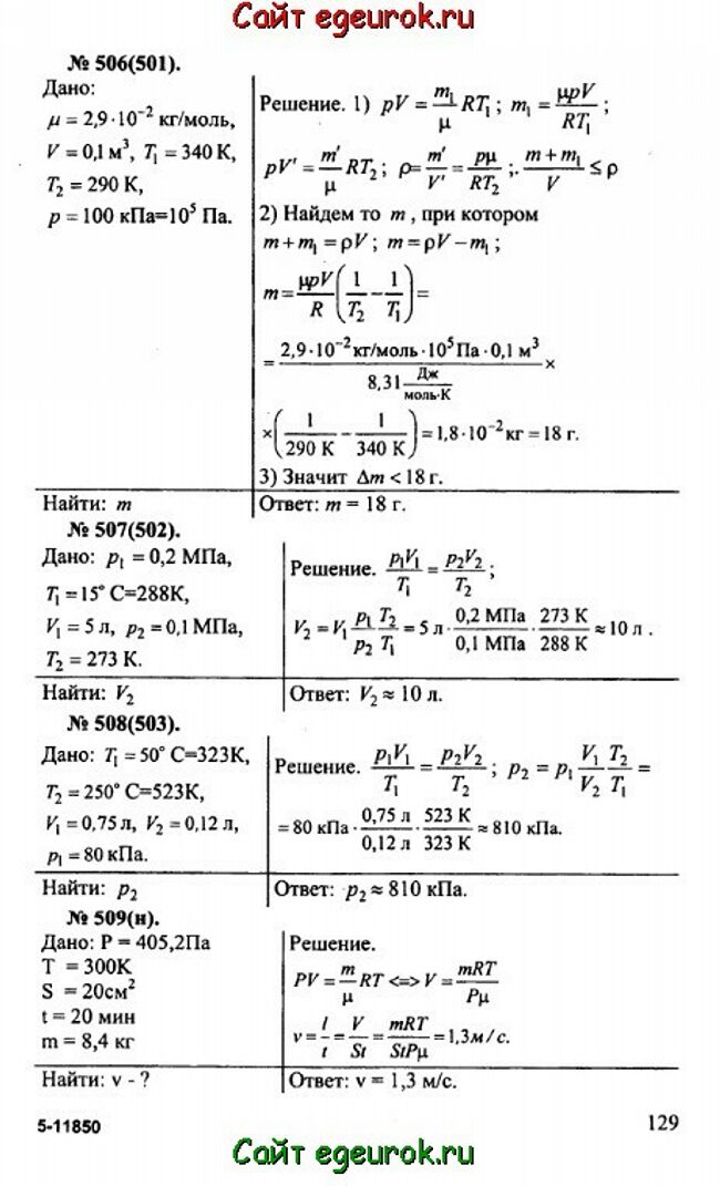
Решебник и ГДЗ по физике 10-11 класс Рымкевич - задачи №506-509


Вернуться на главную страницу сайта - vpr-klass.com

Решение задач 504-505 Смотреть все задания Решение задач 510-514

Решебник физика 10-11 класс Рымкевич - задачник: задачи номер №506-509.

Решебник и ГДЗ по физике 10-11 класс Рымкевич - решение задачи номер №506-509.
Решение задач 504-505 Смотреть все задания Решение задач 510-514


Вернуться на главную страницу сайта vpr-klass.com