Решебник и ГДЗ по физике 10-11 класс Рымкевич - задачи №504-505


Вернуться на главную страницу сайта - vpr-klass.com

Решение задач 500-503 Смотреть все задания Решение задач 506-509

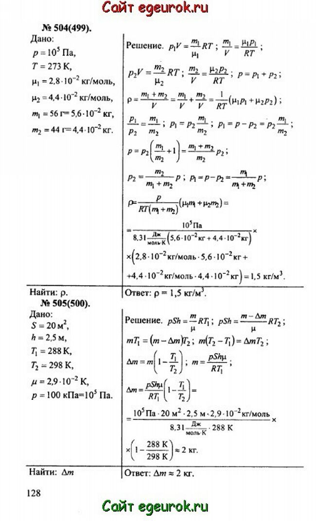
Решебник физика 10-11 класс Рымкевич - задачник: задачи номер №504-505.

Решебник и ГДЗ по физике 10-11 класс Рымкевич - решение задачи номер №504-505.
Решение задач 500-503 Смотреть все задания Решение задач 506-509


Вернуться на главную страницу сайта vpr-klass.com