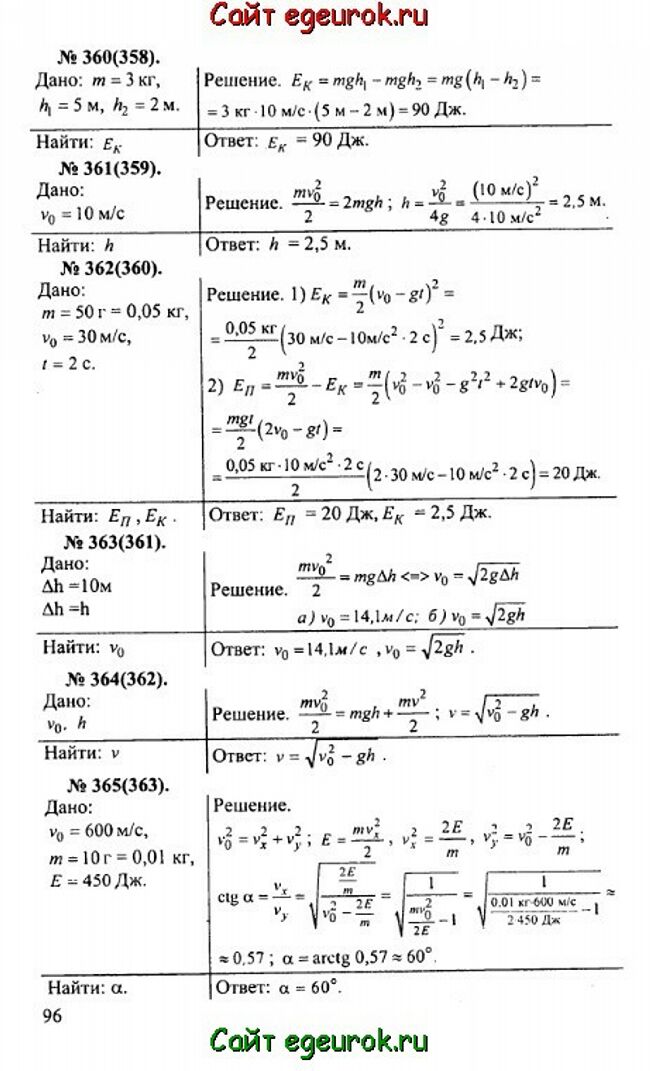
Решебник и ГДЗ по физике 10-11 класс Рымкевич - задачи №360-365


Вернуться на главную страницу сайта - vpr-klass.com

Решение задач 355-359 Смотреть все задания Решение задач 366-368

Решебник физика 10-11 класс Рымкевич - задачник: задачи номер №360-365.

Решебник и ГДЗ по физике 10-11 класс Рымкевич - решение задачи номер №360-365.
Решение задач 355-359 Смотреть все задания Решение задач 366-368


Вернуться на главную страницу сайта vpr-klass.com