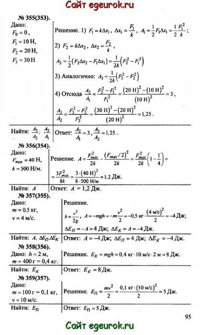
Решебник и ГДЗ по физике 10-11 класс Рымкевич - задачи №355-359


Вернуться на главную страницу сайта - vpr-klass.com

Решение задач 348-354 Смотреть все задания Решение задач 360-365

Решебник физика 10-11 класс Рымкевич - задачник: задачи номер №355-359.

Решебник и ГДЗ по физике 10-11 класс Рымкевич - решение задачи номер №355-359.
Решение задач 348-354 Смотреть все задания Решение задач 360-365


Вернуться на главную страницу сайта vpr-klass.com