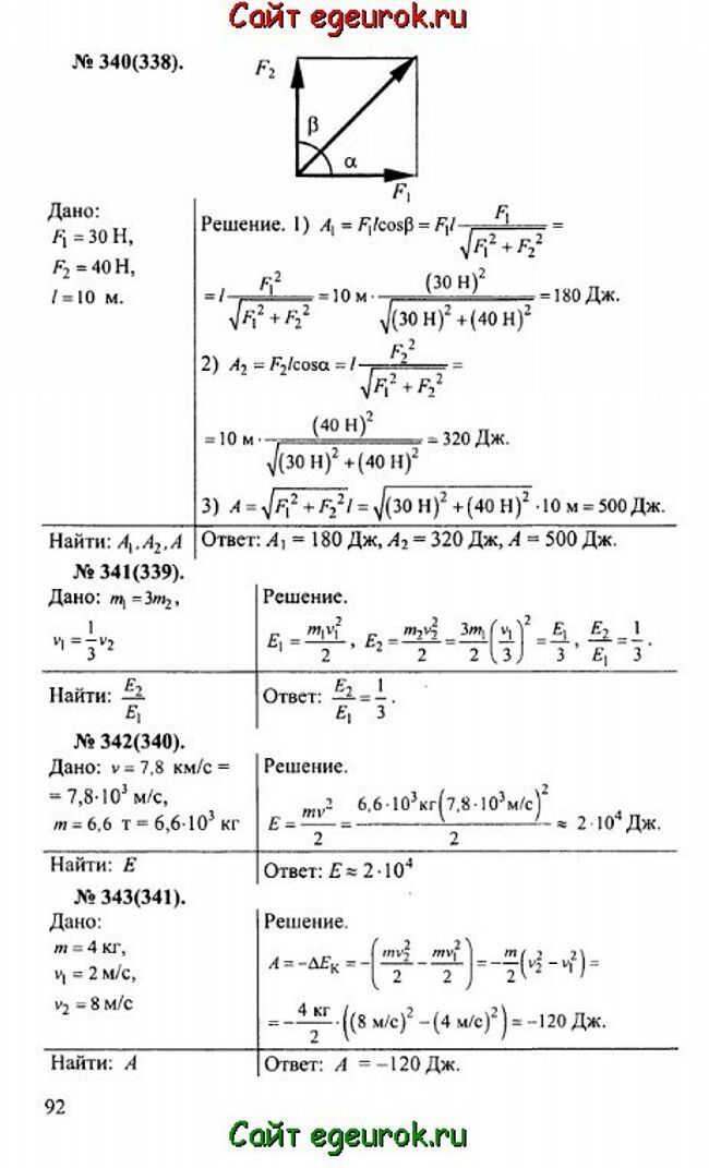
Решебник и ГДЗ по физике 10-11 класс Рымкевич - задачи №340-343


Вернуться на главную страницу сайта - vpr-klass.com

Решение задач 333-339 Смотреть все задания Решение задач 344-347

Решебник физика 10-11 класс Рымкевич - задачник: задачи номер №340-343.

Решебник и ГДЗ по физике 10-11 класс Рымкевич - решение задачи номер №340-343.
Решение задач 333-339 Смотреть все задания Решение задач 344-347


Вернуться на главную страницу сайта vpr-klass.com