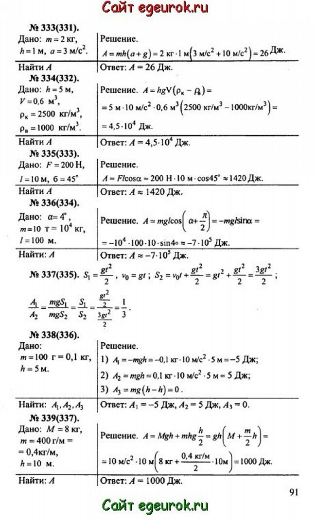
Решебник и ГДЗ по физике 10-11 класс Рымкевич - задачи №333-339


Вернуться на главную страницу сайта - vpr-klass.com

Решение задач 327-332 Смотреть все задания Решение задач 340-343

Решебник физика 10-11 класс Рымкевич - задачник: задачи номер №333-339.

Решебник и ГДЗ по физике 10-11 класс Рымкевич - решение задачи номер №333-339.
Решение задач 327-332 Смотреть все задания Решение задач 340-343


Вернуться на главную страницу сайта vpr-klass.com