Решебник и ГДЗ по физике 10-11 класс Рымкевич - задачи №287-288


Вернуться на главную страницу сайта - vpr-klass.com

Решение задач 285-286 Смотреть все задания Решение задач 288-289

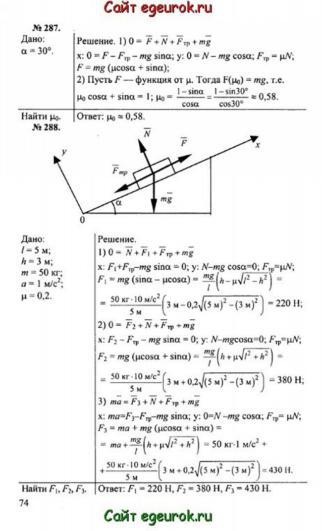
Решебник физика 10-11 класс Рымкевич - задачник: задачи номер №287-288.

Решебник и ГДЗ по физике 10-11 класс Рымкевич - решение задачи номер №287-288.
Решение задач 285-286 Смотреть все задания Решение задач 288-289


Вернуться на главную страницу сайта vpr-klass.com