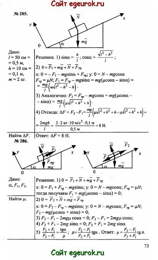
Решебник и ГДЗ по физике 10-11 класс Рымкевич - задачи №285-286


Вернуться на главную страницу сайта - vpr-klass.com

Решение задач 283-284 Смотреть все задания Решение задач 287-288

Решебник физика 10-11 класс Рымкевич - задачник: задачи номер №285-286.

Решебник и ГДЗ по физике 10-11 класс Рымкевич - решение задачи номер №285-286.
Решение задач 283-284 Смотреть все задания Решение задач 287-288


Вернуться на главную страницу сайта vpr-klass.com