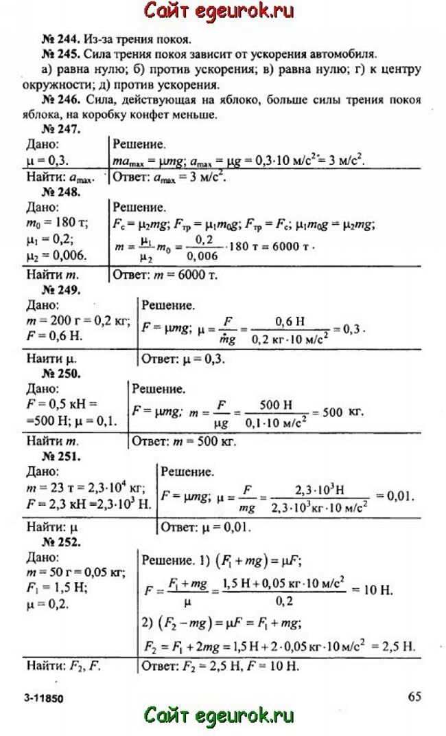
Решебник и ГДЗ по физике 10-11 класс Рымкевич - задачи №244-252


Вернуться на главную страницу сайта - vpr-klass.com

Решение задач 240-243 Смотреть все задания Решение задач 253-262

Решебник физика 10-11 класс Рымкевич - задачник: задачи номер №244-252.

Решебник и ГДЗ по физике 10-11 класс Рымкевич - решение задачи номер №244-252.
Решение задач 240-243 Смотреть все задания Решение задач 253-262


Вернуться на главную страницу сайта vpr-klass.com