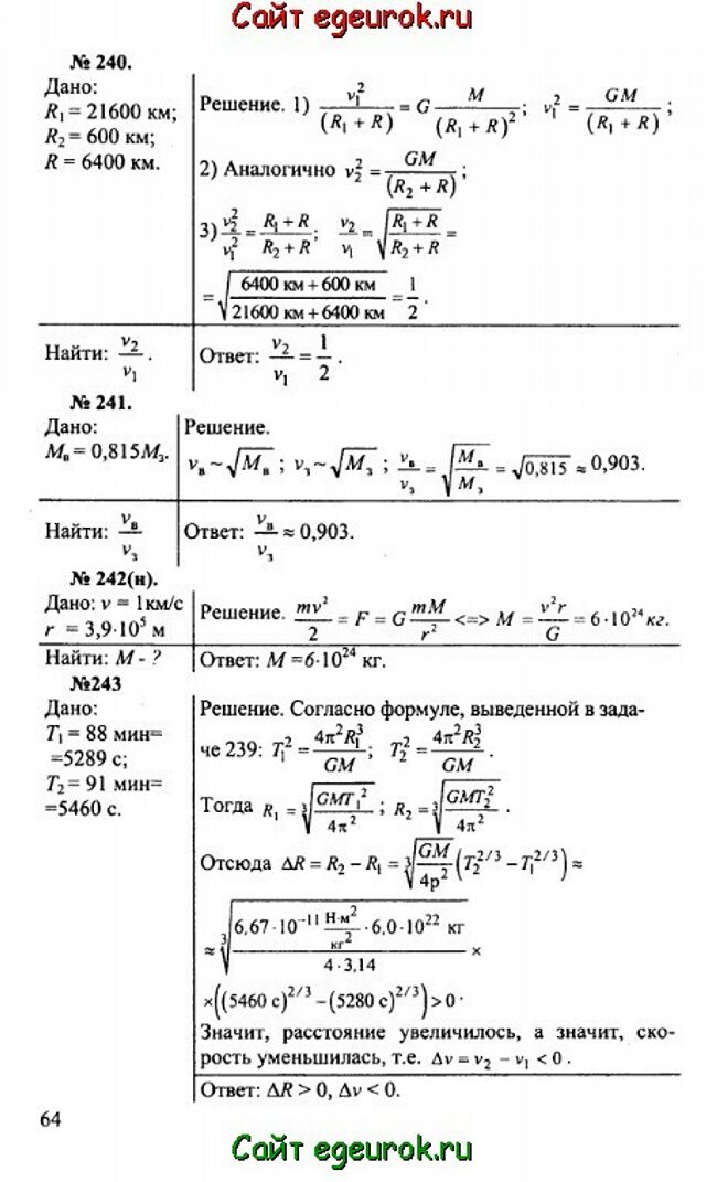
Решебник и ГДЗ по физике 10-11 класс Рымкевич - задачи №240-243


Вернуться на главную страницу сайта - vpr-klass.com

Решение задач 236-239 Смотреть все задания Решение задач 244-252

Решебник физика 10-11 класс Рымкевич - задачник: задачи номер №240-243.

Решебник и ГДЗ по физике 10-11 класс Рымкевич - решение задачи номер №240-243.
Решение задач 236-239 Смотреть все задания Решение задач 244-252


Вернуться на главную страницу сайта vpr-klass.com