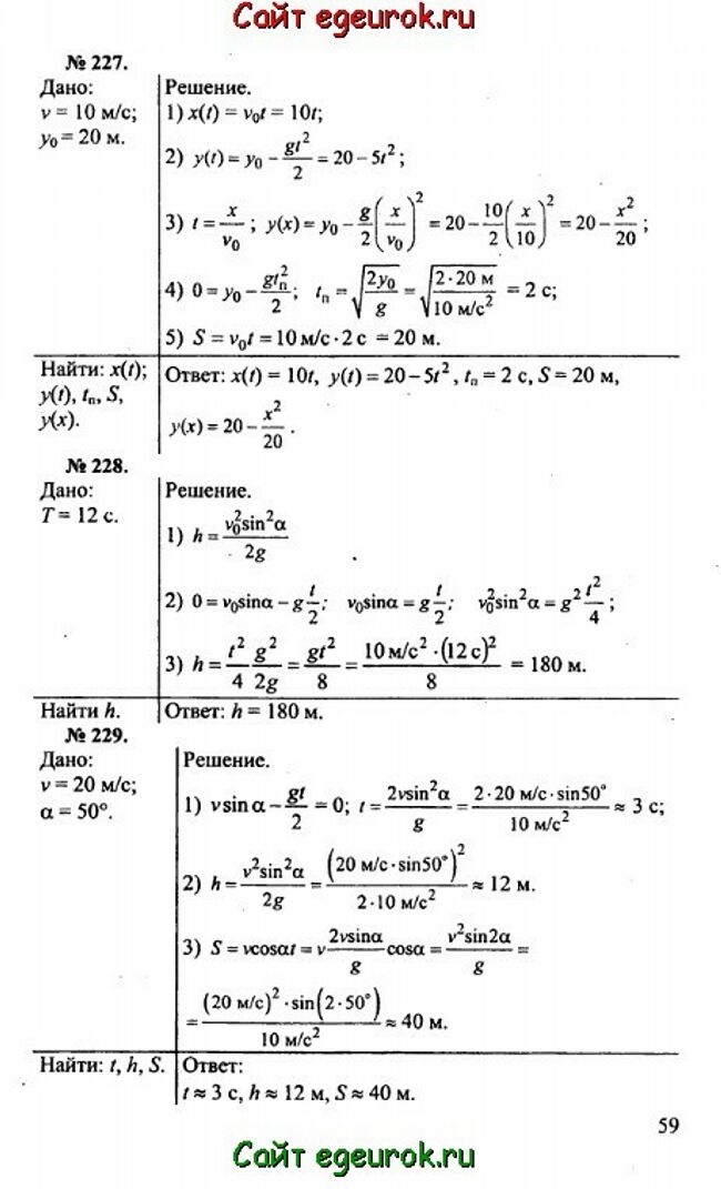
Решебник и ГДЗ по физике 10-11 класс Рымкевич - задачи №227-229


Вернуться на главную страницу сайта - vpr-klass.com

Решение задач 223-226 Смотреть все задания Решение задач 230-232

Решебник физика 10-11 класс Рымкевич - задачник: задачи номер №227-229.

Решебник и ГДЗ по физике 10-11 класс Рымкевич - решение задачи номер №227-229.
Решение задач 223-226 Смотреть все задания Решение задач 230-232


Вернуться на главную страницу сайта vpr-klass.com