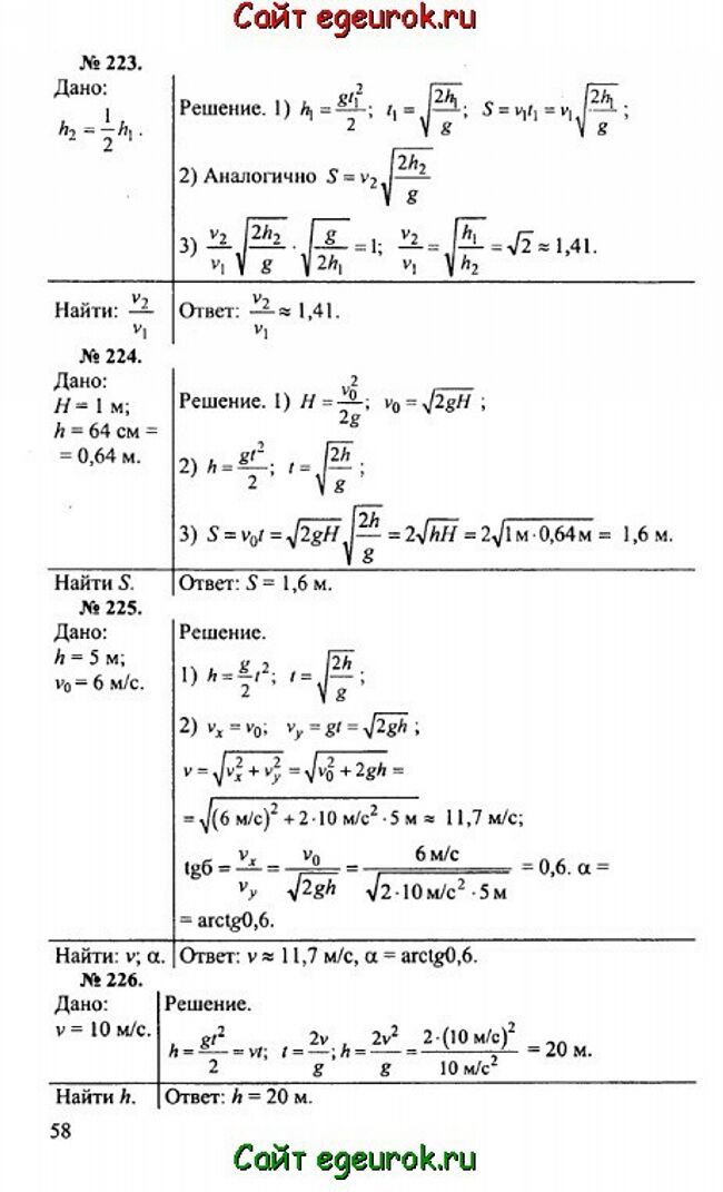
Решебник и ГДЗ по физике 10-11 класс Рымкевич - задачи №223-226


Вернуться на главную страницу сайта - vpr-klass.com

Решение задач 218-222 Смотреть все задания Решение задач 227-229

Решебник физика 10-11 класс Рымкевич - задачник: задачи номер №223-226.

Решебник и ГДЗ по физике 10-11 класс Рымкевич - решение задачи номер №223-226.
Решение задач 218-222 Смотреть все задания Решение задач 227-229


Вернуться на главную страницу сайта vpr-klass.com