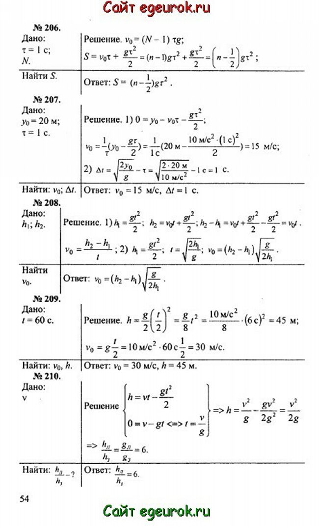
Решебник и ГДЗ по физике 10-11 класс Рымкевич - задачи №206-210


Вернуться на главную страницу сайта - vpr-klass.com

Решение задач 201-205 Смотреть все задания Решение задач 211-215

Решебник физика 10-11 класс Рымкевич - задачник: задачи номер №206-210.

Решебник и ГДЗ по физике 10-11 класс Рымкевич - решение задачи номер №206-210.
Решение задач 201-205 Смотреть все задания Решение задач 211-215


Вернуться на главную страницу сайта vpr-klass.com