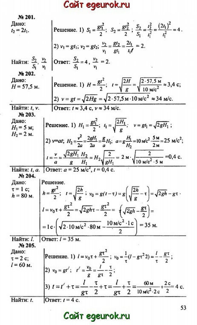
Решебник и ГДЗ по физике 10-11 класс Рымкевич - задачи №201-205


Вернуться на главную страницу сайта - vpr-klass.com

Решение задач 192-200 Смотреть все задания Решение задач 206-210

Решебник физика 10-11 класс Рымкевич - задачник: задачи номер №201-205.

Решебник и ГДЗ по физике 10-11 класс Рымкевич - решение задачи номер №201-205.
Решение задач 192-200 Смотреть все задания Решение задач 206-210


Вернуться на главную страницу сайта vpr-klass.com