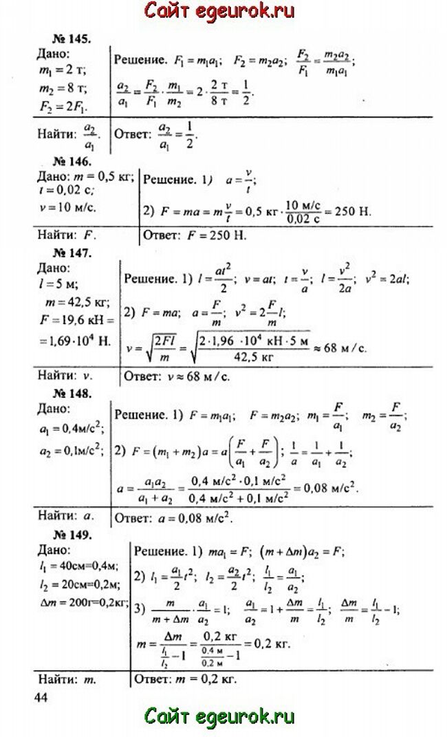
Решебник и ГДЗ по физике 10-11 класс Рымкевич - задачи №145-149


Вернуться на главную страницу сайта - vpr-klass.com

Решение задач 138-144 Смотреть все задания Решение задач 150-158

Решебник физика 10-11 класс Рымкевич - задачник: задачи номер №145-149.

Решебник и ГДЗ по физике 10-11 класс Рымкевич - решение задачи номер №145-149.
Решение задач 138-144 Смотреть все задания Решение задач 150-158


Вернуться на главную страницу сайта vpr-klass.com