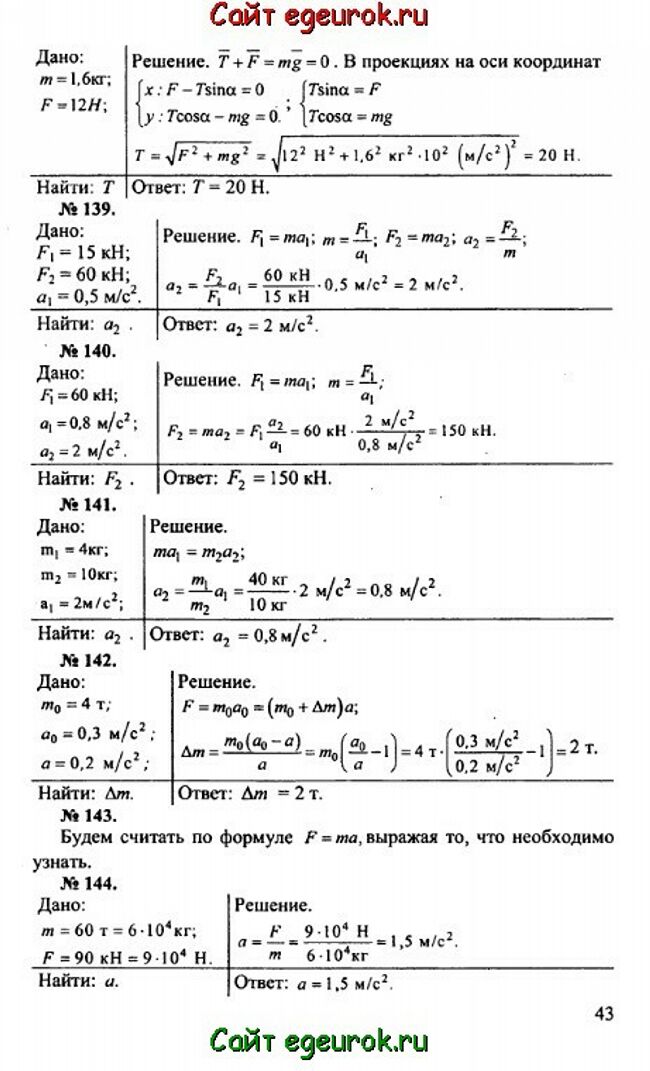
Решебник и ГДЗ по физике 10-11 класс Рымкевич - задачи №138-144


Вернуться на главную страницу сайта - vpr-klass.com

Решение задач 135-138 Смотреть все задания Решение задач 145-149

Решебник физика 10-11 класс Рымкевич - задачник: задачи номер №138-144.

Решебник и ГДЗ по физике 10-11 класс Рымкевич - решение задачи номер №138-144.
Решение задач 135-138 Смотреть все задания Решение задач 145-149


Вернуться на главную страницу сайта vpr-klass.com